Q.No:1 CSIR-Dec-2014
Let \(\psi_1\) and \(\psi_2\) denote the normalized eigenstates of a particle with energy eigenvalues \(E_1\) and \(E_2\) respectively, with \(E_2>E_1\). At time \(t=0\) the particle is prepared in a state
\[
\Psi(t=0)=\frac{1}{\sqrt{2}}(\psi_1+\psi_2).
\]
The shortest time \(T\) at which \(\Psi(t=T)\) will be orthogonal to \(\Psi(t=0)\) is
(1) \(\frac{2\hbar \pi}{(E_2-E_1)}\)
(2) \(\frac{\hbar \pi}{(E_2-E_1)}\)
(3) \(\frac{\hbar \pi}{2(E_2-E_1)}\)
(4) \(\frac{\hbar \pi}{4(E_2-E_1)}\)
Check Answer
Option 2
Q.No:2 CSIR-Dec-2014
Let \(|\psi\rangle=c_0 |0\rangle+c_1 |1\rangle\) (where \(c_0\) and \(c_1\) are constants with \(c_0^2+c_1^2=1\)) be a linear combination of the wavefunctions of the ground and first excited states of the one-dimensional harmonic oscillator. For what value of \(c_0\) is the expectation value \(\langle x\rangle\) a maximum?
(1) \(\langle x\rangle=\sqrt{\frac{\hbar}{m\omega}}, c_0=\frac{1}{\sqrt{2}}\)
(2) \(\langle x\rangle=\sqrt{\frac{\hbar}{2m\omega}}, c_0=\frac{1}{2}\)
(3) \(\langle x\rangle=\sqrt{\frac{\hbar}{2m\omega}}, c_0=\frac{1}{\sqrt{2}}\)
(4) \(\langle x\rangle=\sqrt{\frac{\hbar}{m\omega}}, c_0=\frac{1}{2}\)
Check Answer
Option 3
Q.No:3 CSIR-Dec-2015
The ground state energy of a particle of mass \(m\) in the potential \(V(x)=V_0 \cosh{\left(\frac{x}{L}\right)}\), where \(L\) and \(V_0\) are constants (and \(V_0 \gg \frac{\hbar^2}{2mL^2}\)) is approximately
(1) \(V_0+\frac{\hbar}{L}\sqrt{\frac{2V_0}{m}}\)
(2) \(V_0+\frac{\hbar}{L}\sqrt{\frac{V_0}{m}}\)
(3) \(V_0+\frac{\hbar}{4L}\sqrt{\frac{V_0}{m}}\)
(4) \(V_0+\frac{\hbar}{2L}\sqrt{\frac{V_0}{m}}\)
Check Answer
Option 4
Q.No:4 CSIR-June-2016
The state of a particle of mass \(m\) in a one-dimensional rigid box in the interval \(0\) to \(L\) is given by the normalised wavefunction \(\psi(x)=\sqrt{\frac{2}{L}}\left(\frac{3}{5}\sin{\left(\frac{2\pi x}{L}\right)}+\frac{4}{5}\sin{\left(\frac{4\pi x}{L}\right)}\right)\). If its energy is measured, the possible outcomes and the average value of energy are, respectively
(1) \(\frac{h^2}{2mL^2}, \frac{2h^2}{mL^2}\) and \(\frac{73}{50}\frac{h^2}{mL^2}\)
(2) \(\frac{h^2}{8mL^2}, \frac{h^2}{2mL^2}\) and \(\frac{19}{40}\frac{h^2}{mL^2}\)
(3) \(\frac{h^2}{2mL^2}, \frac{2h^2}{mL^2}\) and \(\frac{19}{10}\frac{h^2}{mL^2}\)
(4) \(\frac{h^2}{8mL^2}, \frac{2h^2}{mL^2}\) and \(\frac{73}{200}\frac{h^2}{mL^2}\)
Check Answer
Option 1
Q.No:5 CSIR-June-2016
The eigenstates corresponding to eigenvalues \(E_1\) and \(E_2\) of a time-independent Hamiltonian are \(|1\rangle\) and \(|2\rangle\) respectively. If at \(t=0\), the system is in a state \(|\psi(t=0)\rangle=\sin{\theta}|1\rangle+\cos{\theta}|2\rangle\) the value of \(\langle \psi(t)|\psi(t)\rangle\) at time \(t\) will be
(1) \(1\)
(2) \((E_1 \sin^2{\theta}+E_2 \cos^2{\theta})/\sqrt{E_1^2+E_2^2}\)
(3) \(e^{iE_1 t/\hbar}\sin{\theta}+e^{iE_2 t/\hbar}\cos{\theta}\)
(4) \(e^{-iE_1 t/\hbar}\sin^2{\theta}+e^{-iE_2 t/\hbar}\cos^2{\theta}\)
Check Answer
Option 1
Q.No:6 CSIR-Dec-2016
Consider the two lowest normalized energy eigenfunctions \(\psi_0(x)\) and \(\psi_1(x)\) of a one dimensional system. They satisfy \(\psi_0(x)=\psi_0^*(x)\) and \(\psi_1(x)=\alpha \frac{d\psi_0}{dx}\), where \(\alpha\) is a real constant. The expectation value of the momentum operator in the state \(\psi_1\) is
(1) \(-\frac{\hbar}{\alpha^2}\)
(2) \(0\)
(3) \(\frac{\hbar}{\alpha^2}\)
(4) \(\frac{2\hbar}{\alpha^2}\)
Check Answer
Option 2
Q.No:7 CSIR-June-2017
If the root-mean-squared momentum of a particle in the ground state of a one-dimensional simple harmonic potential is \(p_0\), then its root-mean-squared momentum in the first excited state is
(1) \(p_0 \sqrt{2}\)
(2) \(p_0 \sqrt{3}\)
(3) \(p_0 \sqrt{2/3}\)
(4) \(p_0 \sqrt{3/2}\)
Check Answer
Option 2
Q.No:8 CSIR-Dec-2017
The state vector of a one-dimensional simple harmonic oscillator of angular frequency \(\omega\), at time \(t=0\), is given by \(|\psi(0)\rangle=\frac{1}{\sqrt{2}}[|0\rangle+|2\rangle]\), where \(|0\rangle\) and \(|2\rangle\) are the normalized ground state and the second excited state, respectively. The minimum time \(t\) after which the state vector \(|\psi(t)\rangle\) is orthogonal to \(|\psi(0)\rangle\), is
(1) \(\pi/2\omega\)
(2) \(2\pi/\omega\)
(3) \(\pi/\omega\)
(4) \(4\pi/\omega\)
Check Answer
Option 1
Q.No:9 CSIR-June-2018
The maximum intensity of solar radiation is at the wavelength of \(\lambda_{\text{sun}}\sim 5000\) \(A^{0}\) and corresponds to its surface temperature \(T_{\text{sun}} \sim 10^4 K\). If the wavelength of the maximum intensity of an X-ray star is \(5\) \(A^{0}\), its surface temperature is of the order of
(1) \(10^{16} K\)
(2) \(10^{14} K\)
(3) \(10^{10} K\)
(4) \(10^{7} K\)
Check Answer
Option 4
Q.No:10 CSIR-June-2018
At \(t=0\), the wavefunction of an otherwise free particle confined between two infinite walls at \(x=0\) and \(x=L\) is \(\psi(x, t=0)=\sqrt{\frac{2}{L}}(\sin{\frac{\pi x}{L}}-\sin{\frac{3\pi x}{L}})\). Its wavefunction at a later time \(t=\frac{mL^2}{4\pi \hbar}\) is
(1) \(\sqrt{\frac{2}{L}}\left(\sin{\frac{\pi x}{L}}-\sin{\frac{3\pi x}{L}}\right)e^{i\pi/6}\)
(2) \(\sqrt{\frac{2}{L}}\left(\sin{\frac{\pi x}{L}}+\sin{\frac{3\pi x}{L}}\right)e^{-i\pi/6}\)
(3) \(\sqrt{\frac{2}{L}}\left(\sin{\frac{\pi x}{L}}-\sin{\frac{3\pi x}{L}}\right)e^{-i\pi/8}\)
(4) \(\sqrt{\frac{2}{L}}\left(\sin{\frac{\pi x}{L}}+\sin{\frac{3\pi x}{L}}\right)e^{-i\pi/8}\)
Check Answer
Option 4
Q.No:11 CSIR-Dec-2018
The standard deviation of the following set of data \(\{10.0, 10.0, 9.9, 9.9, 9.8, 9.9, 9.9, 9.9, 9.8, 9.9\}\) is nearest to
(1) \(0.10\)
(2) \(0.07\)
(3) \(0.01\)
(4) \(0.04\)
Check Answer
Option 2
Q.No:12 CSIR-June-2019
A quantum particle of mass \(m\) in one dimension, confined to a rigid box as shown in the figure, is in its ground state. An infinitesimally thin wall is very slowly raised to infinity at the centre of the box, in such a way that the system remains in its ground state at all times. Assuming that no energy is lost in raising the wall, the work done on the system when the wall is fully raised, eventually separating the original box into two compartments, is

(1) \(\frac{3\pi^2 \hbar^2}{8mL^2}\)
(2) \(\frac{\pi^2 \hbar^2}{8mL^2}\)
(3) \(\frac{\pi^2 \hbar^2}{2mL^2}\)
(4) \(0\)
Check Answer
Option 1
Q.No:13 CSIR-June-2019
The wavefunction of a free particle of mass \(m\), constrained to move in the interval \(-L\leq x\leq L\), is \(\psi(x)=A(L+x)(L-x)\), where \(A\) is the normalization constant. The probability that the particle will be found to have the energy \(\frac{\pi^2 \hbar^2}{2mL^2}\) is
(1) \(0\)
(2) \(\frac{1}{\sqrt{2}}\)
(3) \(\frac{1}{2\sqrt{3}}\)
(4) \(\frac{1}{\sqrt{\pi}}\)
Check Answer
Option 1
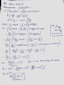
Q.No:14 CSIR-Dec-2019
A particle of mass \(m\) is confined to a box of unit length in one dimension. It is described by the wavefunction \(\psi(x)=\sqrt{\frac{8}{5}}\sin{\pi x}(1+\cos{\pi x})\) for \(0\leq x\leq 1\), and zero outside this interval. The expectation value of energy in this state is
(1) \(\frac{4\pi^2}{3m}\hbar^2\)
(2) \(\frac{4\pi^2}{5m}\hbar^2\)
(3) \(\frac{2\pi^2}{5m}\hbar^2\)
(4) \(\frac{8\pi^2}{5m}\hbar^2\)
Check Answer
Option 2
Q.No:15 Assam CSIR-Dec-2019
The wavefunction of a particle in one dimension is given to be \(\psi(x, t)=u(x)e^{-i\omega t}\), where \(u(x)\) is
\(u(x)= \begin{cases}
ax & 0\leq x \leq 1 \\
\frac{1}{2}a(3-x) & 1\le x \leq 3\\
0 & otherwise
\end{cases}\)
and \(a>0\). The expectation value of the coordinate \(\langle x\rangle\) at time \(t=0\) is
(1) \(3/2\)
(2) \(1\)
(3) \(5/4\)
(4) \(3/4\)
Check Answer
Option 3
Q.No:16 CSIR-June-2020
Let \(|n\rangle\) denote the energy eigenstates of a particle in a one-dimensional simple harmonic potential \(V(x)=\frac{1}{2}m\omega^2 x^2\). If the particle is initially prepared in the state \(|\psi(t=0)\rangle=\sqrt{\frac{1}{2}}(|0\rangle+|1\rangle)\), the minimum time after which the oscillator will be found in the same state is
(a) \(3\pi/(2\omega)\)
(b) \(\pi/\omega\)
(c) \(\pi/(2\omega)\)
(d) \(2\pi/\omega\)
Check Answer
Option d
Q.No:17 CSIR Feb-2022
A particle of mass m is in a one dimensional infinite potential well of length \(L\) , extending
from \(x=0\) to \(x=L\). When it is in the energy Eigen-state labelled by \(n,(n=1,2,3,...)\) the
probability of finding in the interval \(0\leq x\leq L/8\) is \(1/8\). The minimum value of \(n\) for which this
is possible is
(1) \(4\)
(2) \(2\)
(3) \(6\)
(4) \(8\)
Check Answer
Option 1
Q.No:18 CSIR Feb-2022
The figures below depict three different wave functions of a particle confined to a one
dimensional box \(-1\leq x\leq 1\)

The wave functions that correspond to the maximum expectation values \(|\langle x\rangle|\) (absolute value of
the mean position) and \(\langle x^2 \rangle\), respectively, are
(1) \(B\) and \(C\)
(2) \(B\) and \(A\)
(3) \(C\) and \(B\)
(4) \(A\) and \(B\)
Check Answer
Option 1
Q.No:19 CSIR Feb-2022
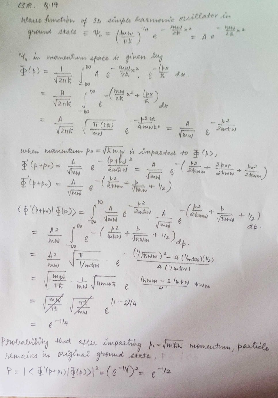
A particle of mass \(m\) in one dimension is in the ground state of a simple harmonic
oscillator described by a Hamiltonian
\(H=\frac{p^2}{2m}+\frac{1}{2}m\omega^2x^2\) in the standard notation. An impulsive
force at time to \(t=0\) suddenly imparts a momentum \(p_0=\sqrt{\hbar m \omega}\) to it. The probability that the
particle remains in the original ground state is
(1) \(e^{-2}\)
(2) \(e^{-3/2}\)
(3) \(e^{-1}\)
(4) \(e^{-1/2}\)
Check Answer
Option 4
Q.No:20 CSIR Feb-2022
The unnormalized wave function of a particle in one dimension in an infinite square well
with walls at \(x=0\) and \(x=a\) , is \(\psi(x)=x(a-x)\). If \(\psi(x)\) is expanded as a linear combination
of the energy eigenfunctions, \(\int_0^a|\psi(x)|^2 dx\) is proportional to the infinite series
(You may use \(\int_0^a t\hspace{1mm} sin (t) dt=-a \hspace{1mm} cos a+sin\hspace{1mm} a\) and \(\int_0^a t^2 sin (t) dt =-2-(a^2-2)cos\hspace{1mm} a+2a sin\hspace{1mm} a\))
(1) \(\sum_{n=1}^\infty(2n-1)^{-6}\)
(2) \(\sum_{n=1}^\infty(2n-1)^{-4}\)
(3) \(\sum_{n=1}^\infty(2n-1)^{-2}\)
(4) \(\sum_{n=1}^\infty(2n-1)^{-8}\)
Check Answer
Option 1
Q.No:22 CSIR June-2024
An atom of mass \( m \), initially at rest, resonantly absorbs a photon. It makes a transition from the ground state to an excited state and also gets a momentum kick. If the difference between the energies of the ground state and the excited state is \(\hbar \Delta\), the angular frequency of the absorbed photon is closest to
1) \( \Delta \left(1 + \frac{3}{2}\frac{\hbar \Delta}{mc^2}\right) \)
2) \( \Delta \left(1 + \frac{1}{2}\frac{\hbar \Delta}{mc^2}\right) \)
3) \( \Delta \left(1 + \frac{\hbar \Delta}{mc^2}\right) \)
4) \( \Delta \left(1 + 2\frac{\hbar \Delta}{mc^2}\right) \)
Check Answer
Option 2
Q.No:22 CSIR June-2023
In a quantum harmonic oscillator problem, \(\hat{a}\) and \(\hat{N}\) are the annihilation operator and the number operator, respectively. The operator \(e^{\hat{N}}\hat{a} e^{-\hat{N}}\) is
(where \(\hat{I}\) is the identity operator)
1) \(\hat{a}\)
2) \(e^{-1}\hat{a}\)
3) \(e^{-(\hat{I}+\hat{a})}\)
4) \(e^{\hat{a}}\)
Check Answer
Option 2
Q.No:23 CSIR June-2024
The Hamiltonian for a one dimensional simple harmonic oscillator is given by
\[
H = \frac{p^2}{2m} + \frac{1}{2}m\omega^2 x^2.
\]
The harmonic oscillator is in the state
\[
|\psi\rangle = \frac{1}{\sqrt{1+\lambda^2}} \left(|1\rangle + \lambda e^{i\vartheta}|2\rangle\right),
\]
where \(|1\rangle\) and \(|2\rangle\) are the normalised first and second excited states of the oscillator and \(\lambda, \vartheta\) are positive real constants. If the expectation value \(\langle\psi|x|\psi\rangle = \beta \sqrt{\frac{\hbar}{m\omega}}\), the value of \(\beta\) is
1) \(\frac{1}{\sqrt{2(1+\lambda^2)}}\)
2) \(\frac{\sqrt{2}\lambda\cos\vartheta}{1+\lambda^2}\)
3) \(\frac{2\lambda\cos\vartheta}{1+\lambda^2}\)
4) \(\frac{\lambda^2\cos\vartheta}{1+\lambda^2}\)
Check Answer
Option 3
Q.No:24 CSIR June-2024
The probability density function of a variable \( x \) is given by
\[
P(x) = \frac{1}{2}\left[\delta(x - a) + \delta(x + a)\right].
\]
The variance of \( x \) is:
1) \( a^2 \)
2) \( 0 \)
3) \( 2a^2 \)
4) \( \frac{a^2}{2} \)
Check Answer
Option 1
Q.No:25 CSIR June-2025
The energy eigenstates of a one-dimensional harmonic oscillator are denoted by \(|i\rangle\), where \(i = 0,1,2,3,\ldots\). If the momentum operator \(\hat{p}\) satisfies
\[
\frac{\langle n+1 \,|\, \hat{p} \,|\, n\rangle}{\langle 2 \,|\, \hat{p} \,|\, 1\rangle} = \sqrt{2}
\]
then the value of \(n\) is:
1) 0
2) 1
3) 2
4) 3
Check Answer
Option 4
Q.No:26 CSIR June-2025
A particle of mass \(m\) is in the third energy eigenstate of an infinite potential well of width \(a\). The time interval in which the phase of this wave function changes by \(2\pi\) is
1) \(\frac{4ma^{2}}{3\pi\hbar}\)
2) \(\frac{4ma^{2}}{9\pi\hbar}\)
3) \(\frac{8ma^{2}}{3\pi\hbar}\)
4) \(\frac{8ma^{2}}{9\pi\hbar}\)
Check Answer
Option 2
Q.No:27 CSIR June-2025
\(|n\rangle\) denotes the eigenvector of the number operator for a particle of mass \(m\) in a one-dimensional potential
\(V = \frac{1}{2} m \omega^{2} x^{2},\ n = 0, 1, 2, \ldots\). For the state vector
\[
|\varphi(x,t = 0)\rangle = \frac{1}{\sqrt{3}}\,|1\rangle + \sqrt{\frac{2}{3}}\,|2\rangle
\]
\(\langle x(t)\rangle\) is
1) \(\frac{2\sqrt{2}}{3}\sqrt{\frac{\hbar}{2m\omega}}\cos \omega t\)
2) \(\frac{4}{3}\sqrt{\frac{\hbar}{2m\omega}}\cos \omega t\)
3) \(\frac{2\sqrt{2}}{3}\sqrt{\frac{\hbar}{2m\omega}}\cos 2\omega t\)
4) \(\frac{4}{3}\sqrt{\frac{\hbar}{2m\omega}}\cos 2\omega t\)

Q.No.1 Discussion :
My solution
Q.No.2 Discussion :
ans option c
Q.No.3 Discussion :
Correct Answer: Option D
Q.No.4 Discussion :
Option 1
Q.No.5 Discussion :
answer option a
Q.No.6 Discussion :
answer
Q.No.7 Discussion :
Q.No.8 Discussion :
Q.No.9 Discussion :
Ans
Q.No.10 Discussion :
Ans
Q.No.11 Discussion :
QNO11
Q.No.12 Discussion :
Ans
Q.No.13 Discussion :
Option A
Second page of the answer
Q.No.14 Discussion :
Ans
Ans:
Solution :
Q.No.15 Discussion :
Q15 see both clicks
part 1
part 2
Q.No.16 Discussion :
Q.No.17 Discussion :
Q.No.18 Discussion :
Option A is correct.
Explanation
Answer
Q.No.19 Discussion :
Answer
Q.No.20 Discussion :
Q 20