CAUTION : Try solving the problem yourself for at least 5–10 minutes before clicking the AI Assistant. In the exam hall, you will be on your own.
Q.No:1 CSIR Dec-2014
A plane electromagnetic wave incident normally on the surface of a material is partially reflected. Measurements on the standing wave in the region in front of the interface show that the ratio of the electric field amplitude at the maxima and the minima is \(5\). The ratio of the reflected intensity to the incident intensity if
Recall that the interaction potential between two dipoles of moments \(\vec{p_1}\) and \(\vec{p_2}\), separated by
\(R_{12}=R_{12}\hat{n}\) is \((\vec{p_1}.\vec{p_2}-3(\vec{p_1}.\hat{n})(\vec{p_2.\hat{n}})/(4\pi\epsilon_0R_{12}^3)\).
Assume that \(R\gg r\) and let \(\Omega^2=\frac{q^2}{4\pi\epsilon_0mR^3}\)
. The angular frequencies of small oscillations of
the diatomic molecule are
(1)
\(\sqrt{\omega^2+\Omega^2}\) and \(\sqrt{\omega^2-\Omega^2}\)
(2)
\(\sqrt{\omega^2+3\Omega^2}\) and \(\sqrt{\omega^2-3\Omega^2}\)
(3)
\(\sqrt{\omega^2+4\Omega^2}\) and \(\sqrt{\omega^2-4\Omega^2}\)
(4)
\(\sqrt{\omega^2+2\Omega^2}\) and \(\sqrt{\omega^2-2\Omega^2}\)
Check Answer
Option 1
Q.No:2 CSIR Dec-2014
The scalar and vector potentials \(\varphi(\vec{\mathbf{x}}, t)\) and \(\vec{\mathbf{A}}(\vec{\mathbf{x}}, t)\) are determined up to a gauge transformation \(\varphi\to \varphi'=\varphi-\frac{\partial \xi}{\partial t}\) and \(\vec{\mathbf{A}}\to \vec{\mathbf{A'}}=\vec{\mathbf{A}}+\vec{\nabla}\xi\) where \(\xi\) is an arbitrary continuous and differentiable function of \(\vec{\mathbf{x}}\) and \(t\). If we further impose the Lorenz gauge condition
\[
\vec{\nabla}.\vec{\mathbf{A}}+\frac{1}{c} \frac{\partial \varphi}{\partial t}=0
\]
then a possible choice for the gauge function \(\xi(\vec{\mathbf{x}}, t)\) is (where \(\omega, \vec{\mathbf{k}}\) are nonzero constants with \(\omega=c|\vec{\mathbf{k}}|\))
(1)
\(\cos{\omega t} \cosh{\vec{\mathbf{k}}.\vec{\mathbf{x}}}\)
(2)
\(\sinh{\omega t} \cos{\vec{\mathbf{k}}.\vec{\mathbf{x}}}\)
(3)
\(\cosh{\omega t} \cos{\vec{\mathbf{k}}.\vec{\mathbf{x}}}\)
(4)
\(\cosh{\omega t} \cosh{\vec{\mathbf{k}}.\vec{\mathbf{x}}}\)
Check Answer
Option
Q.No:3 CSIR Dec-2014
A non-relativistic particle of mass \(m\) and charge \(e\), moving with a velocity \(\vec{\mathbf{v}}\) and acceleration \(\vec{\mathbf{a}}\), emits radiation of intensity \(I\). What is the intensity of the radiation emitted by a particle of mass \(m/2\), charge \(2e\), velocity \(\vec{\mathbf{v}}/2\) and acceleration \(2\vec{\mathbf{a}}\)?
(1)
\(16I\)
(2)
\(8I\)
(3)
\(4I\)
(4)
\(2I\)
Check Answer
Option 1
Q.No:4 CSIR June-2015
A plane electromagnetic wave is travelling
along the positive Z-direction. The maximum electric field along the x direction is 10 V/m. The approximate maximum values of the power per unit area and the magnetic induction B, respectively, are
(1)
\(3.3 \times 10^{-7}\) watts/\(m^{2}\) and 10 tesla
(2)
\(3.3 \times 10^{-7}\) watts/\(m^{2}\)
(3)
0.265 watts/\(m^2 \) and 10 tesla
(4)
0.265 watts/\(m^2\) and \(3.3 \times 10^{-8}\) tesla
Check Answer
Option 4
Q.No:5 CSIR June-2015
Which of the following transformations \((V, \overrightarrow{A}) \rightarrow (V', \overrightarrow{A'})\) of the electrostatic potential V and the vector potential \(\overrightarrow{A}\) is a gauge transformation?
(1)
\(\left(V^{\prime}=V+a x, \vec{A}^{\prime}=\vec{A}+at \ \hat{k}\right)\)
(2)
\(\left(V^{\prime}=V+a x, \vec{A}^{\prime}=\vec{A}-at \ \hat{k}\right)\)
(3)
\(\left(V^{\prime}=V+a x, \vec{A}^{\prime}=\vec{A}-a t \ \hat{i}\right)\)
(4)
\(\left(V^{\prime}=V+a x, \vec{A}^{\prime}=\vec{A}-a t \ \hat{i}\right)\)
Check Answer
Option 4
Q.No:6 CSIR June-2015
Consider a rectangular wave guide with transverse dimensions 2 m x 1 m driven with an angular frequency \(\omega = 10^{9}\) rad/s. Which transverse electric (TE) modes will propagate in this wave guide?
(1)
\(TE_{10}, TE_{01}\), and \(TE_{20}\)
(2)
\(TE_{10}, TE_{11}\), and \(TE_{20}\)
(3)
\(TE_{01}, TE_{10}\), and \(TE_{11}\)
(4)
\(TE_{01}, TE_{10}\), and \(TE_{22}\)
Check Answer
Option 1
Q.No:7 CSIR June-2015
A uniform magnetic field in the positive z- direction passes through a circular wire loop of radius 1 cm and resistance 1\(\omega\) lying in the xy-plane. The field strength is reduced from 10 tesla to 9 tesla in 1 s. The charge transferred across any point in the wire is approximately
(1)
\(3.1 \times 10^{-4}\) coulomb
(2)
\(3.4 \times 10^{-4}\) coulomb
(3)
\(4.2 \times 10^{-4}\) coulomb
(4)
\(5.2 \times 10^{-4}\) coulomb
Check Answer
Option 1
Q.No:8 CSIR Dec-2015
A beam of unpolarized light in a medium with dielectric constant \(\epsilon_1\) is reflected from a plane interface formed with another medium of dielectric constant \(\epsilon_2=3\epsilon_1\). The two media have identical magnetic permeability. If the angle of incidence is \(60^{\circ}\), then the reflected light
(1)
is plane polarized perpendicular to the plane of incidence
(2)
is plane polarized parallel to the plane of incidence
(3)
is circularly polarized
(4)
has the same polarization as the incident light
Check Answer
Option 1
Q.No:9 CSIR Dec-2015
A dipole of moment \(\vec{p}\), oscillating at frequency \(\omega\), radiates spherical waves. The vector potential at large distance is
\[
\vec{A}(\vec{r})=\frac{\mu_0}{4\pi} i\omega \frac{e^{ikr}}{r}\vec{p}.
\]
To order \((1/r)\) the magnetic field \(\vec{B}\) at a point \(\vec{r}=r\hat{n}\) is
(1)
\(-\frac{\mu_0}{4\pi} \frac{\omega^2}{c} (\hat{n}\cdot \vec{p}) \hat{n} \frac{e^{ikr}}{r}\)
(2)
\(-\frac{\mu_0}{4\pi} \frac{\omega^2}{c} (\hat{n}\times \vec{p}) \frac{e^{ikr}}{r}\)
(3)
\(-\frac{\mu_0}{4\pi} \omega^2 k (\hat{n}\cdot \vec{p}) \vec{p} \frac{e^{ikr}}{r}\)
(4)
\(-\frac{\pi_0}{4\pi} \frac{\omega^2}{c} \vec{p} \frac{e^{ikr}}{r}\)
Check Answer
Option 2
Q.No:10 CSIR Dec-2015
The frequency dependent dielectric constant of a material is given by
\[
\varepsilon(\omega)=1+\frac{A}{\omega_0^2-\omega^2-i\omega \gamma}
\]
where \(A\) is a positive constant, \(\omega_0\) the resonant frequency and \(\gamma\) the damping coefficient. For an electromagnetic wave of angular frequency \(\omega \ll \omega_0\), which of the following is true? (Assume that \(\frac{\gamma}{\omega_0} \ll 1\).)
(1)
There is negligible absorption of the wave
(2)
The wave propagation is highly dispersive
(3)
There is strong absorption of the electromagnetic wave
(4)
The group velocity and the phase velocity will have opposite sign
Check Answer
Option 1
Q.No:11 CSIR June-2016
The \(x\)- and \(z\)-components of a static magnetic field in a region are \(B_x=B_0(x^2-y^2)\) and \(B_z=0\), respectively. Which of the following solutions for its \(y\)-component is consistent with the Maxwell equations?
(1)
\(B_y=B_0 xy\)
(2)
\(B_y=-2B_0 xy\)
(3)
\(B_y=-B_0(x^2-y^2)\)
(4)
\(B_y=B_0\left(\frac{1}{3}x^3-xy^2\right)\)
Check Answer
Option 2
Q.No:12 CSIR June-2016
A magnetic field \(\mathbf{B}\) is \(B\hat{z}\) in the region \(x>0\) and zero elsewhere. A rectangular loop, in the \(xy\)-plane, of sides \(l\) (along the \(x\)-direction) and \(h\) (along the \(y\)-direction) is inserted into the \(x>0\) region from the \(x<0\) region at a constant velocity \(\mathbf{v}=v\hat{x}\). Which of the following values of \(l\) and \(h\) will generate the largest EMF?
(1)
\(l=8, h=3\)
(2)
\(l=4, h=6\)
(3)
\(l=6, h=4\)
(4)
\(l=12, h=2\)
Check Answer
Option 2
Q.No:13 CSIR June-2016
The values of the electric and magnetic fields in a particular reference frame (in Gaussian units) are \(\mathbf{E}=3\hat{x}+4\hat{y}\) and \(\mathbf{B}=3\hat{z}\), respectively. An inertial observer moving with respect to this frame measures the magnitude of the electric field to be \(|\mathbf{E}'|=4\). The magnitude of the magnetic field \(|\mathbf{B}'|\) measured by him is
(1)
\(5\)
(2)
\(9\)
(3)
\(0\)
(4)
\(1\)
Check Answer
Option 3
Q.No:14 CSIR June-2016
A waveguide has a square cross-section of side \(2a\). For the TM modes of wavevector \(k\), the transverse electromagnetic modes are obtained in terms of a function \(\psi(x, y)\) which obeys the equation
\[
\left[\frac{\partial^2}{\partial x^2}+\frac{\partial^2}{\partial y^2}+\left(\frac{\omega^2}{c^2}-k^2\right)\right]\psi(x, y)=0
\]
with the boundary condition \(\psi(\pm a, y)=\psi(x, \pm a)=0\). The frequency \(\omega\) of the lowest mode is given by
(1)
\(\omega^2=c^2\left(k^2+\frac{4\pi^2}{a^2}\right)\)
(2)
\(\omega^2=c^2\left(k^2+\frac{\pi^2}{a^2}\right)\)
(3)
\(\omega^2=c^2\left(k^2+\frac{\pi^2}{2a^2}\right)\)
(4)
\(\omega^2=c^2\left(k^2+\frac{\pi^2}{4a^2}\right)\)
Check Answer
Option 3
Q.No:15 CSIR Dec-2016
A conducting circular disc of radius \(r\) and resistivity \(\rho\) rotates with an angular velocity \(\omega\) in a magnetic field \(B\) perpendicular to it. A voltmeter is connected as shown in the figure below.

Assuming its internal resistance to be infinite, the reading on the voltmeter
(1)
depends on \(\omega, B, r\) and \(\rho\)
(2)
depends on \(\omega, B\) and \(r\), but not on \(\rho\)
(3)
is zero because the flux through the loop is not changing
(4)
is zero because a current flows in the direction of \(B\)
Check Answer
Option 2
Q.No:16 CSIR Dec-2016
Suppose that free charges are present in a material of dielectric constant \(\epsilon=10\) and resistivity \(\rho=10^{11} \Omega\text{-}m\). Using Ohm's law and the equation of continuity for charge, the time required for the charge density inside the material to decay by \(1/e\) is closest to
(4)
\(10^{-6} s\)
(4)
\(10^{6} s\)
(4)
\(10^{12} s\)
(4)
\(10 s\)
Check Answer
Option 2
Q.No:17 CSIR Dec-2016
A particle with charge \(-q\) moves with a uniform angular velocity \(\omega\) in a circular orbit of radius \(a\) in the \(xy\)-plane, around a fixed charge \(+q\), which is at the centre of the orbit at \((0, 0, 0)\). Let the intensity of radiation at the point \((0, 0, R)\) be \(I_1\) and at \((2R, 0, 0)\) be \(I_2\). The ratio \(I_2/I_1\), for \(R\gg a\), is
(1)
\(4\)
(2)
\(\frac{1}{4}\)
(3)
\(\frac{1}{8}\)
(4)
\(8\)
Check Answer
Option 3
Q.No:18 CSIR Dec-2016
A parallel plate capacitor is formed by two circular conducting plates of radius \(a\) separated by a distance \(d\), where \(d\ll a\). It is being slowly charged by a current that is nearly constant. At an instant when the current is \(I\), the magnetic induction between the plates at a distance \(a/2\) from the centre of the plate, is
(1)
\(\frac{\mu_0 I}{\pi a}\)
(2)
\(\frac{\mu_0 I}{2\pi a}\)
(3)
\(\frac{\mu_0 I}{a}\)
(4)
\(\frac{\mu_0 I}{4\pi a}\)
Check Answer
Option 4
Q.No:19 CSIR June-2017
An electromagnetic wave (of wavelength \(\lambda_0\) in free space) travels through an absorbing medium with dielectric permittivity given by \(\varepsilon=\varepsilon_R+i\varepsilon_I\) where \(\frac{\varepsilon_I}{\varepsilon_R}=\sqrt{3}\). If the skin depth is \(\frac{\lambda_0}{4\pi}\), the ratio of the amplitude of electric field \(E\) to that of the magnetic field \(B\), in the medium (in \unit{ohms}) is
(1)
\(120\pi\)
(2)
\(377\)
(3)
\(30\sqrt{2}\pi\)
(4)
\(30\pi\)
Check Answer
Option 4
Q.No:20 CSIR June-2017
The vector potential \(\vec{A}=ke^{-at}r\hat{r}\) (where \(a\) and \(k\) are constants) corresponding to an electromagnetic field is changed to \(\vec{A}'=-ke^{-at}r\hat{r}\). This will be a gauge transformation if the corresponding change \(\phi'-\phi\) in the scalar potential is
(1)
\(akr^2 e^{-at}\)
(2)
\(2akr^2 e^{-at}\)
(3)
\(-akr^2 e^{-at}\)
(4)
\(-2akr^2 e^{-at}\)
Check Answer
Option 3
Q.No:21 CSIR June-2017
An electron is decelerated at a constant rate starting from an initial velocity \(u\) (where \(u \ll c\)) to \(u/2\) during which it travels a distance \(s\). The amount of energy lost to radiation is
(1)
\(\frac{\mu_0 e^2 u^2}{3\pi mc^2 s}\)
(2)
\(\frac{\mu_0 e^2 u^2}{6\pi mc^2 s}\)
(3)
\(\frac{\mu_0 e^2 u}{8\pi mc s}\)
(4)
\(\frac{\mu_0 e^2 u}{16\pi mc s}\)
Check Answer
Option
Q.No:22 CSIR June-2017
The charge distribution inside a material of conductivity \(\sigma\) and permittivity \(\epsilon\) at initial time \(t=0\) is \(\rho(r, 0)=\rho_0\), a constant. At subsequent times \(\rho(r, t)\) is given by
(1)
\(\rho_0 \exp{\left(-\frac{\sigma t}{\epsilon}\right)}\)
(2)
\(\frac{1}{2}\rho_0[1+\exp{\left(\frac{\sigma t}{\epsilon}\right)}]\)
(3)
\(\frac{\rho_0}{[1+\exp{\left(\frac{\sigma t}{\epsilon}\right)}]}\)
(4)
\(\rho_0\cosh{\frac{\sigma t}{\epsilon}}\)
Check Answer
Option 1
Q.No:23 CSIR Dec-2017
An electromagnetic wave is travelling in free space (of permittivity \(\varepsilon_0\)) with electric field \(\vec{E}=\hat{k}E_0\cos{q(x-ct)}\). The average power (per unit area) crossing planes parallel to \(4x+3y=0\) will be
(1)
\(\frac{4}{5}\varepsilon_0 cE_0^2\)
(2)
\(\varepsilon_0 cE_0^2\)
(3)
\(\frac{1}{2}\varepsilon_0 cE_0^2\)
(4)
\(\frac{16}{25}\varepsilon_0 cE_0^2\)
Check Answer
Option 1
Q.No:24 CSIR Dec-2017
A plane electromagnetic wave from within a dielectric medium (with \(\epsilon=4\epsilon_0\) and \(\mu=\mu_0\)) is incident on its boundary with air, at \(z=0\). The magnetic field in the medium is \(\vec{H}=\hat{j}H_0\cos{(\omega t-kx-k\sqrt{3}z)}\), where \(\omega\) and \(k\) are positive constants. The angles of reflection and refraction are, respectively,
(1)
\(45^{\circ}\) and \(60^{\circ}\)
(2)
\(30^{\circ}\) and \(90^{\circ}\)
(3)
\(30^{\circ}\) and \(60^{\circ}\)
(4)
\(60^{\circ}\) and \(90^{\circ}\)
Check Answer
Option 2
Q.No:25 CSIR Dec-2017
In the rest frame \(\mathbf{S}_1\) of a point particle with electric charge \(q_1\), another point particle with electric charge \(q_2\) moves with a speed \(v\) parallel to the \(x\)-axis at a perpendicular distance \(l\). The magnitude of the electromagnetic force felt by \(q_1\) due to \(q_2\) when the distance between them is minimum, is [In the following \(\gamma=\frac{1}{\sqrt{1-v^2/c^2}}\).]
(1)
\(\frac{1}{4\pi \epsilon_0} \frac{q_1 q_2}{\gamma l^2}\)
(2)
\(\frac{1}{4\pi \epsilon_0} \frac{\gamma q_1 q_2}{l^2}\)
(3)
\(\frac{1}{4\pi \epsilon_0} \frac{\gamma q_1 q_2}{l^2}\left(1+\frac{v^2}{c^2}\right)\)
(4)
\(\frac{1}{4\pi \epsilon_0} \frac{q_1 q_2}{\gamma l^2}\left(1+\frac{v^2}{c^2}\right)\)
Check Answer
Option 2
Q.No:26 CSIR Dec-2017
In an inertial frame \(\mathbf{S}\), the magnetic vector potential in a region of space is given by \(\vec{A}=az\hat{i}\) (where \(a\) is a constant) and the scalar potential is zero. The electric and magnetic fields seen by an inertial observer moving with a velocity \(v\hat{i}\) with respect to \(\mathbf{S}\), are, respectively [In the following \(\gamma=\frac{1}{\sqrt{1-v^2/c^2}}\).]
(1)
\(0\) and \(\gamma a\hat{j}\)
(2)
\(-va\hat{k}\) and \(\gamma a\hat{i}\)
(3)
\(v\gamma a\hat{k}\) and \(v\gamma a\hat{j}\)
(4)
\(v\gamma a\hat{k}\) and \(\gamma a\hat{j}\)
Check Answer
Option 4
Q.No:27 CSIR June-2018
The electric field \(\vec{E}\) and the magnetic field \(\vec{B}\) corresponding to the scalar and vector potentials, \(V(x, y, z, t)=0\) and \(\vec{A}(x, y, z, t)=\frac{1}{2}\hat{k}\mu_0 A_0(ct-x)\), where \(A_0\) is a constant, are
(1)
\(\vec{E}=0\) and \(\vec{B}=\frac{1}{2}\hat{j}\mu_0 A_0\)
(2)
\(\vec{E}=-\frac{1}{2}\hat{k}\mu_0 A_0 c\) and \(\vec{B}=\frac{1}{2}\hat{j}\mu_0 A_0\)
(3)
\(\vec{E}=0\) and \(\vec{B}=-\frac{1}{2}\hat{i}\mu_0 A_0\)
(4)
\(\vec{E}=\frac{1}{2}\hat{k}\mu_0 A_0 c\) and \(\vec{B}=-\frac{1}{2}\hat{i}\mu_0 A_0\)
Check Answer
Option 2
Q.No:28 CSIR June-2018
The electric field of a plane wave in a conducting medium is given by
\[
\vec{E}(z, t)=\hat{i}E_0 e^{-z/3a} \cos{\left(\frac{z}{\sqrt{3}a}-\omega t\right)},
\]
where \(\omega\) is the angular frequency and \(a>0\) is a constant. The phase difference between the magnetic field \(\vec{B}\) and the electric field \(\vec{E}\) is
(1)
\(30^{\circ}\) and \(\vec{E}\) lags behind \(\vec{B}\)
(2)
\(30^{\circ}\) and \(\vec{B}\) lags behind \(\vec{E}\)
(3)
\(60^{\circ}\) and \(\vec{E}\) lags behind \(\vec{B}\)
(4)
\(60^{\circ}\) and \(\vec{B}\) lags behind \(\vec{E}\)
Check Answer
Option
Q.No:29 CSIR June-2018
In the region far from a source, the time dependent electric field at a point \((r, \theta, \phi)\) is
\[
\vec{E}(r, \theta, \phi)=\hat{\phi} E_0 \omega^2 \left(\frac{\sin{\theta}}{r}\right) \cos{\left[\omega\left(t-\frac{r}{c}\right)\right]}
\]
where \(\omega\) is angular frequency of the source. The total power radiated (averaged over a cycle) is
(1)
\(\frac{2\pi}{3} \frac{E_0^2 \omega^4}{\mu_0 c}\)
(2)
\(\frac{4\pi}{3} \frac{E_0^2 \omega^4}{\mu_0 c}\)
(3)
\(\frac{4}{3\pi} \frac{E_0^2 \omega^4}{\mu_0 c}\)
(4)
\(\frac{2}{3} \frac{E_0^2 \omega^4}{\mu_0 c}\)
Check Answer
Option 2
Q.No:30 CSIR June-2018
A hollow waveguide supports transverse electric (TE) modes with the dispersion relation \(k=\frac{1}{c}\sqrt{\omega^2-\omega_{mn}^2}\), where \(\omega_{mn}\) is the mode frequency. The speed of flow of electromagnetic energy at the mode frequency is
(1)
\(c\)
(2)
\(\omega_{mn}/k\)
(3)
\(0\)
(4)
\(\infty\)
Check Answer
Option 3
Q.No:31 CSIR Dec-2018
An electromagnetic wave propagates in a non-magnetic medium with relative permittivity \(\epsilon=4\). The magnetic field for this wave is
\[
\vec{H}(x, y)=\hat{k} H_0 \cos{(\omega t-\alpha x-\alpha \sqrt{3} y)}
\]
where \(H_0\) is a constant. The corresponding electric field \(\vec{E}(x, y)\) is
(1)
\(\frac{1}{4} \mu_0 H_0 c(-\sqrt{3}\hat{i}+\hat{j})\cos{(\omega t-\alpha x-\alpha \sqrt{3} y)}\)
(2)
\(\frac{1}{4} \mu_0 H_0 c(\sqrt{3}\hat{i}+\hat{j})\cos{(\omega t-\alpha x-\alpha \sqrt{3} y)}\)
(3)
\(\frac{1}{4} \mu_0 H_0 c(\sqrt{3}\hat{i}-\hat{j})\cos{(\omega t-\alpha x-\alpha \sqrt{3} y)}\)
(4)
\(\frac{1}{4} \mu_0 H_0 c(-\sqrt{3}\hat{i}-\hat{j})\cos{(\omega t-\alpha x-\alpha \sqrt{3} y)}\)
Check Answer
Option 1
Q.No:32 CSIR Dec-2018
In an inertial frame, uniform electric and magnetic fields \(\vec{E}\) and \(\vec{B}\) are perpendicular to each other and satisfy \(|\vec{E}|^2-|\vec{B}|^2=29\) (in suitable units). In another inertial frame, which moves at a constant velocity with respect to the first frame, the magnetic field is \(2\sqrt{5}\hat{k}\). In the second frame, an electric field consistent with the previous observations is
(1)
\(\frac{7}{\sqrt{2}}(\hat{i}+\hat{j})\)
(2)
\(7(\hat{i}+\hat{k})\)
(3)
\(\frac{7}{\sqrt{2}}(\hat{i}+\hat{k})\)
(4)
\(7(\hat{i}+\hat{j})\)
Check Answer
Option 1
Q.No:33 CSIR Dec-2018
Electromagnetic wave of angular frequency \(\omega\) is propagating in a medium in which, over a band of frequencies, the refractive index is \(n(\omega)\approx 1-\left(\frac{\omega}{\omega_0}\right)^2\), where \(\omega_0\) is a constant. The ratio \(v_g/v_p\) of the group velocity to the phase velocity at \(\omega=\omega_0/2\) is
(1)
\(3\)
(2)
\(1/4\)
(3)
\(2/3\)
(4)
\(2\)
Check Answer
Option 1
Q.No:34 CSIR June-2019
The permittivity tensor of a uniaxial anisotropic medium, in the standard Cartesian basis, is \(\begin{pmatrix}4\varepsilon_0&0&0\\0&4\varepsilon_0&0\\0&0&9\varepsilon_0\end{pmatrix}\), where \(\varepsilon_0\) is a constant. The wave number of an electromagnetic plane wave polarized along the \(x\)-direction, and propagating along the \(y\)-direction in this medium (in terms of the wave number \(k_0\) of the wave in vacuum) is
(1)
\(4k_0\)
(2)
\(2k_0\)
(3)
\(9k_0\)
(4)
\(3k_0\)
Check Answer
Option 2
Q.No:35 CSIR June-2019
An inertial observer A at rest measures the electric and magnetic field \(\mathbf{E}=(\alpha, 0, 0)\) and \(\mathbf{B}=(\alpha, 0, 2\alpha)\) in a region, where \(\alpha\) is a constant. Another inertial observer B, moving with a constant velocity with respect to A, measures the fields as \(\mathbf{E}'=(E_x', \alpha, 0)\) and \(\mathbf{B}'=(\alpha, B_y', \alpha)\). Then, in units \(c=1\), \(E_x'\) and \(B_y'\) are given, respectively, by
(1)
\(-2\alpha\) and \(\alpha\)
(2)
\(2\alpha\) and \(-\alpha\)
(3)
\(\alpha\) and \(-2\alpha\)
(4)
\(-\alpha\) and \(2\alpha\)
Check Answer
Option 4
Q.No:36 CSIR Dec-2019
The electric field of an electromagnetic wave is \(\vec{E}=\hat{i}\sqrt{2}\sin{(kz-\omega t)} Vm^{-1}\). The average flow of energy per unit area per unit time, due to this wave, is
(1)
\(27\times 10^4 W/m^2\)
(2)
\(27\times 10^{-4} W/m^2\)
(3)
\(27\times 10^{-2} W/m^2\)
(4)
\(27\times 10^2 W/m^2\)
Check Answer
Option 2
Q.No:37 CSIR Dec-2019
A circular conducting wire loop is placed close to a solenoid as shown in the figure below. Also shown is the current through the solenoid as a function of time.

The magnitude \(|i(t)|\) of the induced current in the wire loop, as a function of time \(t\), is best represented as




Check Answer
Option 4
Q.No:38 CSIR Dec-2019
A metallic wave guide of square cross-section of side \(L\) is excited by an electromagnetic wave of wave-number \(k\). The group velocity of the \(TE_{11}\) mode is
(1)
\(ckL/\sqrt{k^2 L^2+\pi^2}\)
(2)
\(\frac{c}{kL}\sqrt{k^2 L^2-2\pi^2}\)
(3)
\(\frac{c}{kL}\sqrt{k^2 L^2-\pi^2}\)
(4)
\(ckL/\sqrt{k^2 L^2+2\pi^2}\)
Check Answer
Option 4
Q.No:39 CSIR Dec-2019
An alternating current \(I(t)=I_0 \cos{(\omega t)}\) flows through a circular wire loop of radius \(R\), lying in the \(xy\)-plane, and centred at the origin. The electric field \(\vec{E}(\vec{r}, t)\) and the magnetic field \(\vec{B}(\vec{r}, t)\) are measured at a point \(\vec{r}\) such that \(r\gg \frac{c}{\omega}\gg R\), where \(\vec{r}=|\vec{r}|\). Which one of the following statements is correct?
(1)
The time-averaged \(|\vec{E}(\vec{r}, t)|\propto \frac{1}{r^2}\)
(2)
The time-averaged \(|\vec{E}(\vec{r}, t)|\propto \omega^2\)
(3)
The time-averaged \(|\vec{B}(\vec{r}, t)|\) as a function of the polar angle \(\theta\) has a minimum at \(\theta=\pi/2\)
(4)
\(\vec{B}(\vec{r}, t)\) is along the azimuthal direction
Check Answer
Option 2
Q.No:40 Assam CSIR Dec-2019
Let \(\vec{E}(\vec{r}, t)\) and \(\vec{B}(\vec{r}, t)\) denote, respectively, the electric and magnetic fields at a point \(\vec{r}\) at time \(t\), due to the motion of a massive particle of charge \(+q\) moving along the positive \(x\)-axis with a speed \(v\). Then, in \(CGS\) units, for all values of \(v\)
(1)
\(|\vec{E}|< c|\vec{B}|\)
(2)
\(|\vec{E}|> c|\vec{B}|\)
(3)
\(|\vec{E}|= c|\vec{B}|\)
(4)
\(|\vec{E}|= \frac{c}{\sqrt{1-\frac{v^2}{c^2}}}|\vec{B}|\)
Check Answer
Option 2
Q.No:41 Assam CSIR Dec-2019
A surface current \(I\) flows in a long rectangular conducting sheet of width \(w\) and a carrier density of \(n\) particles per unit area. The charge of the carriers is \(q\). When a constant magnetic field \(B\hat{k}\) is applied perpendicular to the sheet and coming out of it (see the figure below), the \(y\)-component of the induced electric field in the sheet, away from the edges, is

(1)
\(\frac{q^2 I}{nB}\)
(2)
\(-\frac{q^2 I}{nB}\)
(3)
\(\frac{IB}{qnw}\)
(4)
\(-\frac{IB}{qnw}\)
Check Answer
Option 3
Q.No:42 Assam CSIR Dec-2019
Let \(\vec{E}(x, y, z, t)=f(x, z, t)\hat{j}\) be an electric field and \(\vec{B}(x, y, z, t)=\frac{1}{\omega}f(x, z, t)(-k\hat{i}+ia\hat{k})\) be a magnetic field where \(f(x, z, t)=A e^{-ax} e^{i(kz-\omega t)}\). If these are a solution of the Maxwell equations in vacuum without sources, then \(k^2\) is
(1)
\(2a^2+\frac{\omega^2}{c^2}\)
(2)
\(a^2+\frac{\omega^2}{c^2}\)
(3)
\(\frac{1}{2}a^2+\frac{\omega^2}{c^2}\)
(4)
\(\frac{1}{\sqrt{2}}a^2+\frac{\omega^2}{c^2}\)
Check Answer
Option 2
Q.No:43 CSIR June-2020
Let \(\vec{E}(x, y, z, t)=\vec{E}_0 \cos{(2x+3y-\omega t)}\), where \(\omega\) is a constant, be the electric field of an electromagnetic wave travelling in vacuum. Which of the following vectors is a valid choice for \(\vec{E}_0\)?
(a)
\(\hat{i}-\frac{3}{2}\hat{j}\)
(b)
\(\hat{i}+\frac{3}{2}\hat{j}\)
(c)
\(\hat{i}+\frac{2}{3}\hat{j}\)
(d)
\(\hat{i}-\frac{2}{3}\hat{j}\)
Check Answer
Option d
Q.No:44 CSIR June-2020
A spacecraft of mass \(m=1000 kg\) has a fully reflecting sail that is oriented perpendicular to the direction of the sun. The sun radiates \(10^{26} W\) and has a mass \(M=10^{30} kg\). Ignoring the effect of the planets, for the gravitational pull of the sun to balance the radiation pressure on the sail, the area of the sail will be
(d)
\(10^2 m^2\)
(d)
\(10^4 m^2\)
(d)
\(10^8 m^2\)
(d)
\(10^6 m^2\)
Check Answer
Option d
Q.No:45 CSIR June-2020
The electric field due to a uniformly charged infinite line along the \(z\)-axis, as observed in the rest frame \(S\) of the line charge, is \(\vec{E}(\vec{r})=\frac{\lambda}{2\pi \in_0} \frac{x\hat{i}+y\hat{j}}{(x^2+y^2)}\). In a frame \(M\) moving with a constant speed \(\nu\) with respect to \(S\) along the \(z\)-direction, the electric field \(\vec{E'}\) is (in the following \(\beta=\nu/c\) and \(\gamma=1/\sqrt{1-\beta^2}\))
(a)
\(E_x'=E_x\) and \(E_y'=E_y\)
(b)
\(E_x'=\beta \gamma E_x\) and \(E_y'=\beta \gamma E_y\)
(c)
\(E_x'=E_x/\gamma\) and \(E_y'=E_y/\gamma\)
(d)
\(E_x'=\gamma E_x\) and \(E_y'=\gamma E_y\)
Check Answer
Option d
Q.No:46 CSIR Feb-2022
The components of the electric field, in a region of space devoid of any change or current
sources, are given to be \(E_i=a_i+\sum_{j=1,2,3}b_{ij}x_j\) , where \(a_i\) and \(b{ij}\) are constants independent of the
coordinates. The number of independent components of the matrix \(b_{ij}\) is
(1)
\(5\)
(2)
\(6\)
(3)
\(3\)
(4)
\(4\)
Check Answer
Option 1
Q.No:47 CSIR Feb-2022
A conducting wire in the shape of a circle lies on the (x, y)-plane with its centre at the
origin. A bar magnet moves with a constant velocity towards the wire along the z -axis (as
shown in the figure below).

We take \(t= 0\) to be the instant at which the midpoint of the magnet is at the centre of the wire
loop and the induced current to be positive when it is counter-clockwise as viewed by the
observer facing the loop and the incoming magnet. In these conventions, the best schematic
representation of the induced current \(I(t)\) as a function of t , is




Check Answer
Option 4
Q.No:48 CSIR Feb-2022
A perfectly conducting fluid of permittivity \(\epsilon\) and permeability \(\mu\) flows with a uniform velocity \(\vec{v}\) in the presence of time dependent electric and magnetic fields \(\vec{E}\) and \(\vec{B}\),
respectively, if there is a finite current density in the fluid, then
(1)
\(\vec{\nabla}\times(\vec{v}\times\vec{B})=\frac{\partial \vec{B}}{\partial t} \)
(2)
\(\vec{\nabla}\times(\vec{v}\times\vec{B})=-\frac{\partial \vec{B}}{\partial t} \)
(3)
\(\vec{\nabla}\times(\vec{v}\times\vec{B})=\sqrt{\epsilon\mu}\frac{\partial \vec{B}}{\partial t} \)
(4)
\(\vec{\nabla}\times(\vec{v}\times\vec{B})=-\sqrt{\epsilon\mu}\frac{\partial \vec{B}}{\partial t} \)
Check Answer
Option 1
Q.No:49 CSIR Feb-2022
The figure below shows an ideal capacitor consisting of two parallel circular plates of
radius \(R\) . Points \(P_1\) and \(P_2\) are at a transverse distance, \(r_1>R\) from the line joining the centers of the plates, while points \(P_3\) and \(P_4\) are at a transverse distance \(r_2<R\) .

It \(B(x)\) denotes the magnitude of the magnetic fields at these points, which of the following
holds while the capacitor is charging?
(1)
\(B(P_1)<B(P_2)\) and \(B(P_3)<B(P_4)\)
(2)
\(B(P_1)>B(P_2)\) and \(B(P_3)>B(P_4)\)
(3)
\(B(P_1)=B(P_2)\) and \(B(P_3)<B(P_4)\)
(4)
\(B(P_1)=B(P_2)\) and \(B(P_3)>B(P_4)\)
Check Answer
Option 3
Q.No:50 CSIR Sep-2022
The electric and magnetic fields in a inertial frame are \(E=3a\hat{i}-4\hat{j}\) and \(B=\frac{5a}{c}\hat{k}\), where a is constant. A massive charged particle is released from rest. The necessary and sufficient condition that there is an inertial frame, where the trajectory of the particle is a uniform-pitched halix, is
(1)
\(1<a<\sqrt{2}\)
(2)
\(-1<a<1\)
(3)
\(a^2>1\)
(4)
\(a^2>2\)
Check Answer
Option 3
Q.No:51 CSIR Sep-2022
An electromagnetic wave is incident from vacuum normally on a planar surface on a non-magnetic medium. If the amplitude of the electric field of the incident wave is \(E_0\) and that of the transmitted wave is \(2E_0/3\), then neglecting any loss, then the reflective index of the medium is
(1)
1.5
(2)
2.0
(3)
2.4
(4)
2.7
Check Answer
Option 2
Q.No:52 CSIR Sep-2022
Two small metallic objects are embedded in a weakly conducting medium of conductivity \(\sigma\), and dielectric constant \(\epsilon\). A battery connected between them leads to a potential difference \(V_0\). It is subsequently disconnected at time \(t=0\). The potential difference at later time \(t\) is
(1)
\(V_0 e^{-t\sigma/4\epsilon}\)
(2)
\(V_0 e^{-t\sigma/2\epsilon}\)
(3)
\(V_0 e^{-3t\sigma/4\epsilon}\)
(4)
\(V_0 e^{-t\sigma/\epsilon}\)
Check Answer
Option 4
Q.No:53 CSIR Sep-2022
A square conducting loop in \(yz\)-plane, falls downward under the gravity along the negaive \(z\)-axis. Region1, defined by \(z>0\) has a uniform magnetic field \(\textbf{B}=B_0 \hat{\textbf{i}}\), while region 2 (defined by \(z<0\)) has no magnetic field.

The time dependence of the speed \(v(t)\) of the loop, as it starts to fall from well within region 1, and passes into region 2, is best represented by




Check Answer
Option 2
Q.No:54 CSIR June-2023
The charge density and current of an infinitely long perfectly conducting wire of radius \(a\), which lies along the z-axis, as measured by a static are zero and a constant \(I\), respectively. The charge density measured by an observer, who moves at a speed \(v=\beta c\) parallel to the wire along the direction of the current, is
1) \(-\frac{I\beta}{\pi a^2c\sqrt{1-\beta^2}}\)
2) \(-\frac{I\beta\sqrt{1-\beta^2}}{\pi a^2c}\)
3) \(\frac{I\beta}{\pi a^2c\sqrt{1-\beta^2}}\)
4) \(\frac{I\beta\sqrt{1-\beta^2}}{\pi a^2c}\)
Check Answer
Option 1
Q.No:55 CSIR June-2023
The electric and magnetic fields at a point due to two independent sources are \(\textbf{E}_1=E(\alpha\hat{\textbf{i}}+\beta\hat{\textbf{j}})\), \(\textbf{B}_1=B\hat{\textbf{k}}\) and \(\textbf{E}_2=E\hat{\textbf{i}}\), \(\textbf{B}_2=-2B\hat{\textbf{k}}\), where \(\alpha\), \(\beta\), \(E\) and \(B\) are constants. If the Poynting vector is along \(\hat{\textbf{i}}+\hat{\textbf{j}}\), then
1) \(\alpha+\beta+1\)=0
2) \(\alpha+\beta-1=0\)
3) \(\alpha+\beta+2\)=0
4) \(\alpha+\beta-2\)=0
Check Answer
Option 1
Q.No:56 CSIR June-2023
An infinitely long solenoid of radius \(r_0\) centred at origin which produces a time-dependent magnetic field \(\frac{\alpha}{\pi r_0^2}\cos\omega t\) (where \(\alpha\) and \(\omega\) are constants) is placed along the z-axis. A circular loop of radius \(R\), which carries unit line charge density is placed, initially at rest, on the \(xy\)-plane with its centre on the z-axis. If \(R>r_0\), the magnitude of the angular momentum of the loop is
1) \(\alpha R(1-\cos\omega t)\)
2) \(\alpha R\sin\omega t\)
3) \(\frac{1}{2}\alpha R(1-\cos2\omega t)\)
4) \(\frac{1}{2}\alpha R\sin2\omega t\),
Check Answer
Option 1
Q.No:57 CSIR June-2023
A small circular wire loop of radius \(a\) and number of turns \(N\), is oriented with its axis parallel to the direction of the local magnetic field \textbf{B}. A resistance \(R\) and a galvanometer are connected to the coil, as shown in the figure.

When the coil is flipped (i.e., the direction of its axis is reversed) the galvanometer measures the total charge \(Q\) that flows through it. If the induced emf through the coil \(E_F=IR\), then \(Q\) is
1) \(\pi Na^2B/(2R)\)
2) \(\pi Na^2B/R\)
3) \(\sqrt{2}\pi Na^2B/R\)
4) \(2\pi Na^2B/R\)
Check Answer
Option 4
Q.No:58 CSIR June-2023
A long cylindrical wire of radius \(R\) and conductivity \(\sigma\), lying along the z-axis, carries a uniform axial current density \(I\). The Poynting vector on the surface of the wire is (in the following \textbf{\(\hat{\rho}\)} and \textbf{\(\hat{\phi}\)} denote the unit vectors along the radial and azimuthal directions respectively)
1) \(\frac{I^2R}{2\sigma}\textbf{\(\hat{\rho}\)}\)
2) \(-\frac{I^2R}{2\sigma}\textbf{\(\hat{\rho}\)}\)
3) \(-\frac{I^2\pi R}{4\sigma}\textbf{\(\hat{\phi}\)}\)
4) \(\frac{I^2\pi R}{4\sigma}\textbf{\(\hat{\phi}\)}\)
Check Answer
Option 2
Q.No:59 CSIR June-2023
A charged particle moves uniformly on the xy-plane along a circle of radius \(a\) centred at the origin. A detector is put at a distance \(d\) on the x-axis to detect the electromagnetic wave radiated by the particle along the x-direction. If \(d >> a\), the wave received by the detector is
1) unpolarised
2) circularly polarized with the plane of polarization being the yz-plane
3) linearly polarized along the y-direction
4) linearly polarized along the z-direction
Check Answer
Option 3
Q.No:60 CSIR Dec-2023
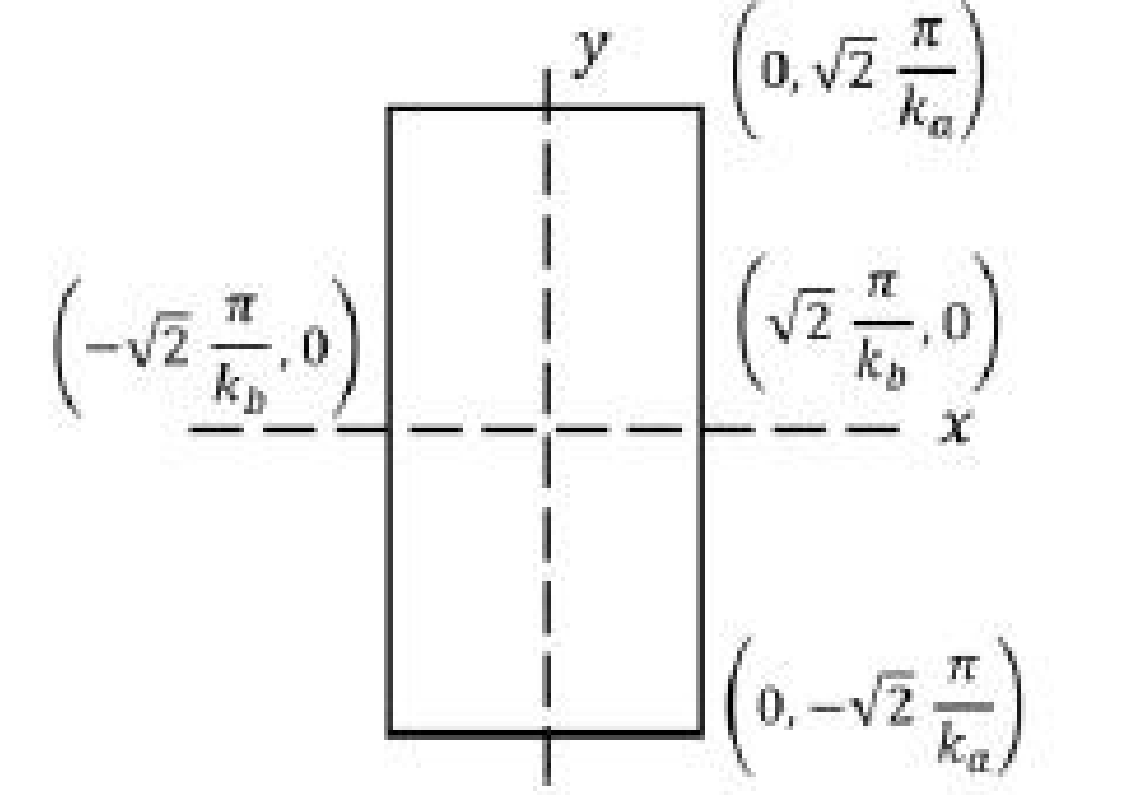
A 2-dimensional resonant cavity supports a TM mode built from a function
\(
\psi(x,y,t) = \sin(\vec{k_a} \cdot \vec{r} - \omega t) + \sin(\vec{k_b} \cdot \vec{r} - \omega t) + \sin(\vec{k_a} \cdot \vec{r} + \omega t) + \sin(\vec{k_b} \cdot \vec{r} + \omega t),
\)
where \( \vec{k_a} \) and \( \vec{k_b} \) lie in the xy-plane and make angles \( \frac{\pi}{4} \) and \( \frac{3\pi}{4} \) with the x-axis, respectively. If \( 0 < |\vec{k_a}| < |\vec{k_b}| \), then which of the following closely describes the outline of the cavity?




Check Answer
Option 2
Q.No : 61 CSIR Dec-2023
The radius of a sphere oscillates as a function of time as \( R + a \cos \omega t \), with \( a < R \). It carries a charge \( Q \) uniformly distributed on its surface at all times. If \( P \) is the time averaged radiated power through a sphere of radius \( r \), such that \( r \gg R + a \) and \( r \gg \frac{c}{\omega} \), then
1) \( P \propto \frac{Q^2 \omega^4 a^2}{c^3} \)
2) \( P \propto \frac{Q^2 \omega^2}{c} \)
3) \( P = 0 \)
4) \( P \propto \frac{Q^2 \omega^6 a^4}{c^5} \)
Check Answer
Option 3
Q.No:62 CSIR Dec-2023
The permittivity of a medium \(\epsilon(\vec{k}, \omega)\), where \(\omega\) and \(\vec{k}\) are the frequency and wavevector, respectively, has no imaginary part. For a longitudinal wave, \(\vec{k}\) is parallel to the electric field such that \(\vec{k} \times \vec{E} = 0\), while for a transverse wave \(\vec{k} \cdot \vec{E} = 0\). In the absence of free charges and free currents, the medium can sustain
1) longitudinal waves with \(\vec{k}\) and \(\omega\) when \(\epsilon(\vec{k}, \omega) > 0\)
2) transverse waves with \(\vec{k}\) and \(\omega\) when \(\epsilon(\vec{k}, \omega) < 0\)
3) longitudinal waves with \(\vec{k}\) and \(\omega\) when \(\epsilon(\vec{k}, \omega) = 0\)
4) both longitudinal and transverse waves with \(\vec{k}\) and \(\omega\) when \(\epsilon(\vec{k}, \omega) > 0\)
Check Answer
Option 3
Q.No:63 CSIR June-2024
In a non-magnetic material with no free charges and no free currents, the permittivity \(\epsilon\) is a function of position. If \(\vec{E}\) represents the electric field and \(\mu_0\), \(\epsilon_0\) are free space permeability and permittivity respectively, which one of the following expressions is correct?
1) \[ \nabla^2 \vec{E} - \mu_0 \frac{\partial^2(\epsilon \vec{E})}{\partial t^2} - \frac{1}{\epsilon_0} \nabla (\vec{E} \cdot \nabla \epsilon) = 0 \]
2) \[ \nabla^2 \vec{E} - \mu_0 \frac{\partial^2(\epsilon \vec{E})}{\partial t^2} + \frac{1}{\epsilon_0} \nabla (\vec{E} \cdot \nabla \epsilon) = 0 \]
3) \[ \nabla^2 \vec{E} - \mu_0 \frac{\partial^2(\epsilon \vec{E})}{\partial t^2} + \nabla (\vec{E} \cdot \nabla \epsilon) = 0 \]
4) \[ \nabla^2 \vec{E} - \mu_0 \frac{\partial^2(\epsilon \vec{E})}{\partial t^2} - \nabla \left(\frac{1}{\epsilon} \vec{E} \cdot \nabla \epsilon\right) = 0 \]
Check Answer
Option 3
Q.No:64 CSIR June-2024
A radio station antenna on the earth’s surface radiates 50 kW power isotropically. Assume the electromagnetic waves to be sinusoidal and the ground to be a perfect absorber. Neglecting any transmission loss and effects of earth’s curvature, the peak value of the magnetic field (in Tesla) detected at a distance of 100 km is closest to:
1) \( 1.5 \times 10^{-11} \)
2) \( 5.5 \times 10^{-11} \)
3) \( 8.5 \times 10^{-11} \)
4) \( 3.5 \times 10^{-11} \)
Check Answer
Option 2
Q.No:65 CSIR June-2024
The electric field of an electromagnetic wave in free space is given by
\[
\vec{E} = E_0 \sin(\omega t - k_z z) \hat{j}.
\]
The magnetic field \(\vec{B}\) vanishes for \(t = \frac{k_z z}{\omega}\). The Poynting vector of the system is
1) \(\frac{k_z}{2 \mu_0 \omega} E_0^2 \sin^2(\omega t - k_z z) \hat{k}\)
2) \(\frac{4 k_z}{\mu_0 \omega} E_0^2 \sin^2(\omega t - k_z z) \hat{k}\)
3) \(\frac{2 k_z}{\mu_0 \omega} E_0^2 \sin^2(\omega t - k_z z) \hat{k}\)
4) \(\frac{k_z}{\mu_0 \omega} E_0^2 \sin^2(\omega t - k_z z) \hat{k}\)
Check Answer
Option 4
Q.No:66 CSIR June-2025
A \(1\,\text{km}\) long optical fibre whose core and cladding have refractive indices \(n_{\text{core}}=1.62\) and \(n_{\text{clad}}=1.52\), respectively, is laid in a straight line. Several identical light pulses are launched simultaneously from air into the entrance of this fibre at different angles about its axis (as sketched). The diameter of the fibre is small compared to its length. The maximum time difference between the pulses emerging at the other end of the fibre would be closest to

1) \(355\ \text{ns}\)
2) \(317\ \text{ns}\)
3) \(5.40\ \mu\text{s}\)
4) \(200\,\text{km}\)
Check Answer
Option 1
Q.No:67 CSIR June-2025
In a particular inertial frame, the electric field \(\vec{E}\) and magnetic field \(\vec{B}\) are
\[
\vec{E}=E_{0}\,\hat{x},\qquad \vec{B}=\frac{E_{0}}{2c}\,\hat{x}.
\]
Which of the following statements is true?
1) There exists an inertial frame where \(\vec{E}=0,\ \vec{B}\neq 0\).
2) There exists no inertial frame where either \(\vec{E}=0\) or \(\vec{B}=0\).
3) There exists an inertial frame where \(\vec{B}=0,\ \vec{E}\neq 0\).
4) There exists an inertial frame where both \(\vec{E}=0\) and \(\vec{B}=0\).
Check Answer
Option 2
Q.No:68 CSIR June-2025
A thin circular wire loop of mass \(M\), having radius \(R\), carries a static charge \(Q\). The plane of the loop is held perpendicular to a uniform magnetic field \(\mathbf{B}\) along the \(z\)-axis passing through its centre, as shown. The loop, initially at rest, can freely rotate about the \(z\)-axis. When the magnetic field is switched off the loop starts rotating with an angular frequency

1) \(\frac{Q B}{M}\)
2) \(\frac{Q B}{2M}\)
3) \(\frac{\pi Q B}{M}\)
4) \(\frac{\pi Q B}{2M}\)
Check Answer
Option 2
Q.No:69 CSIR June-2025
A gas of electrons (with no source of scattering) is placed in an electric field
\[
\vec{E}=E e^{i\omega t}(\hat{i}+\hat{k})
\]
and a magnetic field
\[
\vec{B}=B\hat{k},
\]
where \(E\) and \(B\) are constants. The frequency at which the conductivity in the \(z\)-direction (given by the ratio of the current and the electric field, both in the \(z\)-direction) diverges is
1) \(0\)
2) \(\frac{eB}{m}\)
3) \(-\frac{eB}{m}\)
4) \(\frac{eB}{2m}\)
