Q.No:1 TIFR-2012
Three equal charges \(Q\) are successively brought from infinity and each is placed at one of the three vertices of an equilateral triangle. Assuming the rest of the Universe as a whole to be neutral, the energy \(E_0\) of the electrostatic field will increase, successively, to
\[
E_0+\Delta_1, E_0+\Delta_1+\Delta_2, E_0+\Delta_1+\Delta_2+\Delta_3
\]
where \(\Delta_1:\Delta_2:\Delta_3=\)
(a)
\(1:2:3\)
(b)
\(1:1:1\)
(c)
\(0:1:1\)
(d)
\(0:1:2\)
Check Answer
Option d
Q.No:2 TIFR-2012
Five sides of a hollow metallic cube are grounded and the sixth side is insulated from the rest and is held at a potential \(\Phi\) (see figure).

The potential at the center \(O\) of the cube is
(a)
\(0\)
(b)
\(\Phi/6\)
(c)
\(\Phi/5\)
(d)
\(2\Phi/3\)
Check Answer
Option b
Q.No:3 TIFR-2013
A point charge \(q\) sits at a corner of a cube of side \(a\), as shown in the figure on the right. The flux of the electric field vector through the shaded side is

(a)
\(\frac{q}{8\varepsilon_0}\)
(b)
\(\frac{q}{16\varepsilon_0}\)
(c)
\(\frac{q}{24\varepsilon_0}\)
(d)
\(\frac{q}{6\varepsilon_0}\)
Check Answer
Option c
Q.No:4 TIFR-2013
A parallel plate capacitor of circular cross section with radius \(r\gg d\), where \(d\) is the spacing between the plates, is charged to a potential \(V\) and then disconnected from the charging circuit. If, now, the plates are slowly pulled apart (keeping them parallel) so that their separation is increased from \(d\) to \(d'\), the work done will be
(a)
\(\frac{\pi \varepsilon_0 r^2 V^2}{2d}\left(1-\frac{d}{d'}\right)\)
(b)
\(\frac{\pi \varepsilon_0 r^2 V^2}{2d}\left(\frac{d'}{d}-1\right)\)
(c)
\(\frac{\pi \varepsilon_0 r^2 V^2}{2d}\frac{d'}{d}\)
(d)
\(\frac{\pi \varepsilon_0 r^2 V^2}{2d}\frac{d}{d'}\)
Check Answer
Option b
Q.No:5 TIFR-2013
Consider two charges \(+Q\) and \(-Q\) placed at the points \((a, 0)\) and \((-a, 0)\) in a plane, as shown in the figure on the right. If the origin is moved to the point \((X, Y)\), the magnitude of the dipole moment of the given charge distribution with respect to this origin will be

(a)
\(Q\sqrt{(a-X)^2+y^2}-Q\sqrt{(a+X)^2+y^2}\)
(b)
\(2Qa\)
(c)
\(Q(a-X)-Q(-a+X)\)
(d)
\(2Qa\sqrt{X^2+Y^2}\)
Check Answer
Option b
Q.No:6 TIFR-2014
A solid spherical conductor has a conical hole made at one end, ending in a point B, and a small conical projection of the same shape and size at the opposite side, ending in a point A. A cross-section through the centre of the conductor is shown in the figure on the right.

If, now, a positive charge \(Q\) is transferred to the sphere, then
(a)
the charge density at both A and B will be undefined.
(b)
the charge density at A will be the same as the charge density at B.
(c)
the charge density at A will be more than the charge density at B.
(d)
the charge density at B will be more than the charge density at A.
Check Answer
Option c
Q.No:7 TIFR-2014
Solving Poisson's equation \(\Delta^2 \varphi=-\rho_0/\varepsilon_0\) for the electrostatic potential \(\varphi(\vec{x})\) in a region with a constant charge density \(\rho_0\), two students find different answers, viz.
\[
\varphi_1(\vec{x})=-\frac{1}{2}\frac{\rho_0 x^2}{\varepsilon_0} \text{ and }\varphi_2(\vec{x})=-\frac{1}{2}\frac{\rho_0 y^2}{\varepsilon_0}
\]
The reason why these different solutions are both correct is because
(a)
space is isotropic and hence \(x\) and \(y\) are physically equivalent.
(b)
we can add solutions of Laplace's equation to both \(\varphi_1(\vec{x})\) and \(\varphi_2(\vec{x})\).
(c)
the electrostatic energy is infinite for a constant charge density.
(d)
the boundary conditions are different in the two cases.
Check Answer
Option d
Q.No:8 TIFR-2014
An electric dipole is constructed by fixing two circular charged rings, each of radius \(a\), with an insulating contact (see figure).

One of these rings has total charge \(+Q\) and the other has total charge \(-Q\). If the charge is distributed uniformly along each ring, the dipole moment about the point of contact will be
(a)
\(\frac{Qa}{\pi}\hat{z}\)
(b)
\(4\pi Qa\hat{z}\)
(c)
\(2Qa\hat{z}\)
(d)
zero
Check Answer
Option c
Q.No:9 TIFR-2014
A spherical conductor, carrying a total charge \(Q\), spins uniformly and very rapidly about an axis coinciding with one of its diameters. In the diagrams given below, the equilibrium charge density on its surface is represented by the thickness of the shaded region. Which of these diagrams is correct?

Check Answer
Option b
Q.No:10 TIFR-2015
The electrostatic potential \(\varphi(r)\) of a distribution of point charges has the form \(\varphi(r)\propto r^{-3}\) at a distance \(r\) from the origin \((0, 0, 0)\), where \(r\gg a\). Which of the following distributions can give rise to this potential?

Check Answer
Option c
Q.No:11 TIFR-2015
Consider an infinitely long cylinder of radius \(R\), placed along the \(z\)-axis, which carries a static charge density \(\rho(r)=kr\), where \(r\) is the perpendicular distance from the axis of the cylinder and \(k\) is a constant. The electrostatic potential \(\phi(r)\) inside the cylinder is proportional to
(a)
\(-\frac{2}{3}\left(\frac{r^3}{R^3}+1\right)\)
(b)
\(-2\ln{\left(\frac{r}{R}\right)}\)
(c)
\(-\frac{2}{3}\left(\frac{r^3}{R^3}-1\right)\)
(d)
\(-2\ln{\left(\frac{R}{r}\right)}\)
Check Answer
Option c
Q.No:12 TIFR-2015
A solid spherical conductor encloses \(3\) cavities, a cross-section of which are as shown in the figure. A net charge \(+q\) resides on the outer surface of the conductor. Cavities A and C contain point charges \(+q\) and \(-q\), respectively.

The net charges on the surfaces of these cavities are
(a)
\(A=-q, B=q, C=0\)
(b)
\(A=-q, B=0, C=-q\)
(c)
\(A=+q, B=0, C=-q\)
(d)
\(A=-q, B=0, C=+q\)
Check Answer
Option d
Q.No:13 TIFR-2016
A grounded conducting sphere of radius \(a\) is placed with its centre at the origin. A point dipole of dipole moment \(\vec{p}=p\hat{k}\) is placed at a distance \(d\) along the \(x\)-axis, where \(\hat{i}, \hat{k}\) are the units vector along the \(x\) and \(z\)-axes respectively. This leads to the formation of an image dipole of strength \(\vec{p}'\) at a distance \(d'\) from the centre along the \(x\)-axis. If \(d'=a^2/d\), then \(\vec{p}'=\)
(a)
\(-\frac{a^4 p}{d^4} \hat{k}\)
(b)
\(-\frac{a^3 p}{d^3} \hat{k}\)
(c)
\(-\frac{a^2 p}{d^2} \hat{k}\)
(d)
\(-\frac{a p}{d} \hat{k}\)
Check Answer
Option b
Q.No:14 TIFR-2016
A long, solid dielectric cylinder of radius \(a\) is permanently polarized so that the polarization is everywhere radially outward, with a magnitude proportional to the distance from the axis of the cylinder, i.e., \(\vec{P}=\frac{1}{2}P_0 r\hat{r}\). The bound charge density in the cylinder is given by
(a)
\(-P_0\)
(b)
\(P_0\)
(c)
\(-P_0/2\)
(d)
\(P_0/2\)
Check Answer
Option a
Q.No:15 TIFR-2016
Three positively charged particles lie on a straight line at positions \(0, x\) and \(10\) as indicated in the figure below. Their charges are \(Q, 2Q\), and \(4Q cm\) respectively.

If the charges at \(x=0\) and \(x=10\) are fixed and the charge at \(x\) is movable, the system will be in equilibrium when \(x=\)
(a)
\(8\)
(b)
\(2\)
(c)
\(20/3\)
(d)
\(10/3\)
Check Answer
Option d
Q.No:16 TIFR-2016
In a simple stellar model, the density \(\rho\) of a spherical star of mass \(M\) varies according to the distance \(r\) from the centre according to
\[
\rho(r)=\rho_0\left(1-\frac{r^2}{R^2}\right)
\]
where \(R\) is the radius of the star. The gravitational potential energy of this star (in terms of Newton's constant \(G_N\)) will be
(a)
\(-G_N M^2/4\pi R\)
(b)
\(-3G_N M^2/5R\)
(c)
\(-5G_N M^2/7R\)
(d)
\(-3G_N M^2/7R\)
Check Answer
Option c
Q.No:17 TIFR-2016
Two semi-infinite slabs \(A\) and \(B\) of dielectric constant \(\epsilon_A\) and \(\epsilon_B\) meet in a plane interface, as shown in the figure below.

If the electric field in slab \(A\) makes an angle \(\theta_A\) with the normal to the boundary and the electric field in slab \(B\) makes an angle \(\theta_B\) with the same normal (see figure), then
(a)
\(\cos{\theta_A}=\frac{\epsilon_A}{\epsilon_B}\cos{\theta_B}\)
(b)
\(\sin{\theta_A}=\frac{\epsilon_A}{\epsilon_B}\sin{\theta_B}\)
(c)
\(\tan{\theta_A}=\frac{\epsilon_A}{\epsilon_B}\tan{\theta_B}\)
(d)
\(\sin{\theta_A}=\frac{\epsilon_B}{\epsilon_A}\sin{\theta_B}\)
Check Answer
Option c
Q.No:18 TIFR-2017
Two long hollow conducting cylinders, each of height \(h\), are placed concentrically on the ground, as shown in the figure (top view). The outer cylinder is grounded, while the inner cylinder is insulated. A positive charge (the black dot in the figure) is placed between the cylinders at a height \(h/2\) from the ground.

Which of the following figures gives the most accurate representation (top view) of the lines of force?

Check Answer
Option d
Q.No:19 TIFR-2017
A common model for the distribution of charge in a hydrogen atom has a point-like proton of charge \(+q_0\) at the centre and an electron with a static charge density distribution
\[
\rho(r)=-\frac{q_0}{\pi a^3}e^{-2r/a}
\]
where \(a\) is a constant. The electric field \(\vec{E}\) at \(r=a\) due to this system of charges will be
(a)
\(-\frac{5q_0}{4\pi \epsilon_0 e^2 a^2}\hat{r}\)
(b)
\(-\frac{5q_0}{4\pi \epsilon_0 e a^2}\hat{r}\)
(c)
\(\frac{5q_0}{4\pi \epsilon_0 e^2 a^2}\hat{r}\)
(d)
\(\frac{3q_0}{4\pi \epsilon_0 e^2 a^2}\hat{r}\)
Check Answer
Option c
Q.No:20 TIFR-2017
Consider the following situations.

In situation \(A\), two semi-infinite earthed conducting planes meet at right-angles. A point charge \(q\), is placed at a distance \(d\) from each plane, as shown in the figure \(A\). The magnitude of the force exerted on the charge \(q\) is denoted \(F_A\).
In situation \(B\), the same charge \(q\) is kept at the same distance \(d\) from an infinite earthed conducting plane, as shown in figure \(B\). The magnitude of the force exerted on the charge \(q\) is denoted \(F_B\).
Find the numerical ratio \(\frac{F_A}{F_B}\)
Check Answer
Ans 0.9142
Q.No:21 TIFR-2017
Consider a spherical shell with radius \(R\) such that the potential on the surface of the shell in spherical coordinates is given by,
\[
V(r=R, \theta, \varphi)=V_0 \cos^2{\theta}
\]
where the angle \(\theta\) is shown in the figure. There are no charges except for those on the shell. The potential outside the shell at the point \(P\) a distance \(2R\) away from its center \(C\) (see figure) is

(a)
\(V=\frac{V_0}{8}(1+\cos^2{\theta})\)
(b)
\(V=\frac{V_0}{8}(1+2\cos^2{\theta})\)
(c)
\(V=\frac{V_0}{4}(1-\cos^2{\theta})\)
(d)
\(V=\frac{V_0}{2}(-2\cos{\theta}+\cos^3{\theta})\)
Check Answer
Option a
Q.No:22 TIFR-2018
Calculate the self-energy, in Joules, of a spherical conductor of radius \(8.5 \hspace{1mm}\text{cm}\), which carries a charge \(100 \hspace{1mm} \mu \text{C}\).
Check Answer
Ans 529
Q.No:23 TIFR-2018
An atom of atomic number \(Z\) can be modelled as a point positive charge surrounded by a rigid uniformly negatively charged solid sphere of radius \(R\). The electric polarisability \(\alpha\) of this system is defined as
\[
\alpha=\frac{p_E}{E}
\]
where \(p_E\) is the dipole moment induced on application of electric field \(E\) which is small compared to the binding electric field inside the atom. It follows that \(\alpha=\)
(a)
\(\frac{8\pi \epsilon_0}{R^3}\)
(b)
\(\frac{4\pi \epsilon_0}{R^3}\)
(c)
\(8\pi \epsilon_0 R^3\)
(d)
\(4\pi \epsilon_0 R^3\)
Check Answer
Option d
Q.No:24 TIFR-2018
Consider an infinite plane with a uniform positive charge density \(\sigma\) as shown below.

A negative point charge \(-q\) with mass \(m\) is held at rest at a distance \(d\) from the sheet and released. It will then undergo oscillatory motion. What is the time period of this oscillation?
[You may assume that the point charge can move freely though the charged plane without disturbing the charge density.].
Check Answer
Ans
Q.No:25 TIFR-2018
The electrostatic charge density \(\rho(r)\) corresponding to the potential
\[
\varphi(r)=\frac{q}{4\pi \epsilon_0}\frac{1}{r}\left(1+\frac{\alpha r}{2}\right)\exp{(-\alpha r)}
\]
is \(\rho=\)
(a)
\(q\delta(r)-2q\alpha^3 \exp{(-\alpha r)}\)
(b)
\(q\delta(r)-q\frac{\alpha^3}{4} \exp{(-\alpha r)}\)
(c)
\(q\delta(r)-q\frac{\alpha^3}{2} \exp{(-\alpha r)}\)
(d)
\(-q\delta(r)-2q\alpha^3 \exp{(-\alpha r)}\)
Check Answer
Option c
Q.No:26 TIFR-2018
Consider an infinite plane with a uniform positive charge density \(\sigma\) as shown below.

A negative point charge \(-q\) with mass \(m\) is held at rest at a distance \(d\) from the sheet and released. It will then undergo oscillatory motion. What is the time period of this oscillation?
[You may assume that the point charge can move freely though the charged plane without disturbing the charge density.].
Check Answer
Ans 1
Q.No:27 TIFR-2019
A point charge \(q<0\) is brought in front of a grounded conducting sphere. If the induced charge density on the sphere is plotted such that that the thickness of the black shading is proportional to the charge density, the correct plot will most closely resemble

Check Answer
Option b
Q.No:28 TIFR-2019
A monsoon cloud has a flat bottom of surface area \(125 \hspace{1mm}\text{km}^2\). It floats horizontally over the ground at a level such that the base of the cloud is \(1.13 \hspace{1mm}\text{km}\) above the ground (see figure). Due to friction with the air below, the base of the cloud acquires a uniform electric charge density. This keeps increasing slowly with time.

When the uniform electric field below the cloud reaches the value \(2.4 \hspace{1mm}\text{MV}\hspace{1mm}\text{m}^{-1}\) a lightning discharge occurs, and the entire charge of the cloud passes to the Earth below -- which, in this case, behaves like a grounded conductor.
Neglecting edge effects and inhomogeneities inside the cloud and the air below, the energy released in this lightning discharge can be estimated, in kilowatt-hours \((\text{kWh})\), as about
(a)
\(10^9\)
(b)
\(10^5\)
(c)
\(10\)
(d)
\(10^{-1}\)
Check Answer
Option a
Q.No:29 TIFR-2020
Consider two concentric spheres of radii \(a\) and \(b\), where \(a<b\) (see figure). The (shaded) space between the two spheres is filled uniformly with total charge \(Q\). The electric field at any point between the two spheres at distance \(r\) from the centre is given by

(a)
\(\frac{Q}{4\pi \epsilon_0}\frac{r^3-a^3}{r^2(b^3-a^3)}\)
(b)
\(\frac{Q}{4\pi \epsilon_0}\frac{1}{r^2}\)
(c)
\(\frac{Q}{4\pi \epsilon_0}\left(\frac{b}{r^4}-\frac{a}{r^4}\right)^{2/3}\)
(d)
zero
Check Answer
Option a
Q.No:30 TIFR-2020
A two-dimensional electrostatic field is defined as
\[
\vec{E}(x, y)=-x\hat{i}+y\hat{j}
\]
A correct diagram for the lines of force is

Check Answer
Option a
Q.No:31 TIFR-2020
A light rigid insulating rod of length \(\ell\) is suspended horizontally from a rigid frictionless pivot at one of the ends (see figure). At a vertical distance \(h\) below the rod there is an infinite plane conducting plane, which is grounded.

If two small, light spherical conductors are attached at the ends of the rod and given charges \(+Q\) and \(-Q\) as indicated in the figure, the torque on the rod will be
(a)
\(\frac{Q^2}{4\pi \epsilon_0 \ell}\hat{k}\)
(b)
\(-\frac{Q^2}{4\pi \epsilon_0 \ell}\hat{k}\)
(c)
\(\frac{(4-\sqrt{2})}{16\pi \epsilon_0}\frac{Q^2}{\ell}\hat{k}\)
(d)
\(-\frac{(4-\sqrt{2})}{16\pi \epsilon_0}\frac{Q^2}{\ell}\hat{k}\)
Check Answer
Option d
Q.No:32 TIFR-2020
Two conducting uncharged spheres of radii \(R_1\) and \(R_2\) are connected by an infinitesimally thin wire. The centres of the spheres are located at \(\vec{r}_1\) and \(\vec{r}_2\) respectively with respect to the origin \(O\). The system is subjected to an uniform external electric field \(\vec{E}_0\).

If the wire cannot support a net charge and the two spheres are separated by distance much larger than the radii of each of them, the induced dipole moment in the system would be
(a)
\(4\pi \epsilon_0\frac{R_1 R_2}{R_1+R_2}\left\{\vec{E}_0\cdot (\vec{r}_2-\vec{r}_1)\right\}(\vec{r}_2-\vec{r}_1)\)
(b)
\(\frac{1}{4\pi \epsilon_0}\frac{R_1 R_2}{(R_1+R_2)}\left\{\vec{E}_0\cdot (\vec{r}_2-\vec{r}_1)\right\}(\vec{r}_2-\vec{r}_1)\)
(c)
\(4\pi \epsilon_0\frac{R_1+R_2}{R_1 R_2}\left\{\vec{E}_0\cdot (\vec{r}_2-\vec{r}_1)\right\}(\vec{r}_2-\vec{r}_1)\)
(d)
zero
Check Answer
Option c
Q.No:33 TIFR-2021
Consider \(6\) charges fixed at the vertices of a regular hexagon of side \(a\), as shown in the figure below.

The behaviour of the electrostatic potential at distance \(r\to \infty\) in the \(xy\) plane is proportional to
(a)
\(1/r^4\)
(b)
\(1/r^5\)
(c)
\(1/r^3\)
(d)
\(1/r^2\)
Check Answer
Option a
Q.No:34 TIFR-2021
Consider an infinite uniform layer of point-like dipoles, placed in the \(y\)-\(z\) plane, with a constant dipole strength \(\vec{p}=p\hat{x}\) per unit area, as shown in figure below.

Which graph best represents the variation of potential along the \(x\) direction?

Check Answer
Option a
Q.No:35 TIFR-2021
Three concentric spherical metallic shells with radii \(c>b>a\) (see figure) are charged with charges \(e_c, e_b\), and \(e_a\) respectively. The outermost shell (of radius \(c\)) is at a potential \(V_c^0\).
Now, the innermost shell (of radius \(a\)) is grounded, and the potential of the outermost shell becomes \(V_c^g\).

The difference \(V_c^g-V_c^0\) will be
(a)
\(-\frac{1}{4\pi \epsilon_0} \frac{a}{c} \left(\frac{e_a}{a}+\frac{e_b}{b}+\frac{e_c}{c}\right)\)
(b)
\(-\frac{1}{4\pi \epsilon_0} \frac{c}{a} \left(\frac{e_a}{a}+\frac{e_b}{b}+\frac{e_c}{c}\right)\)
(c)
\(-\frac{1}{4\pi \epsilon_0} \frac{c}{a} \left(\frac{e_a}{c}+\frac{e_b}{b}+\frac{e_c}{a}\right)\)
(d)
\(-\frac{1}{4\pi \epsilon_0} \frac{a}{c} \left(\frac{e_c}{c-a}+\frac{e_b}{b}\right)\)
Check Answer
Option a
Q.No:36 TIFR-2021
Two positive charges \(Q\) and \(q\) are placed on opposite sides of a grounded sphere of radius \(R\) at distances of \(2R\) and \(4R\) respectively, from the centre of the sphere, as shown in the diagram below.

The charge \(q\) feels a force AWAY from the centre of the sphere if
(a)
\(\frac{q}{Q}<\frac{25}{144}\)
(b)
\(\frac{q}{Q}<\frac{25}{16}\)
(c)
\(\frac{q}{Q}<\frac{25}{36}\)
(d)
\(\frac{q}{Q}<\frac{49}{144}\)
Check Answer
Option a
Q.No:37 TIFR-2022
A falling raindrop, spherical in shape, with a diameter of 1 \(\mu\)m, acquires a uniform negative charge due to friction with air. The electric field at a distance of 10 \(\mu\)m from the surface of the droplet is measured to be 101 V \(m^{-1}\).
The number of excess electrons acquired by the droplet is
(a)
7
(b)
\(7.02 \times 10^6\)
(c)
\(1.4 \times 10^{23}\)
(d)
1414
Check Answer
Option a
Q.No:38 TIFR-2022
Two equal positive point charges \(Q=+1\) are placed on either side of an x-axis normal to a grounded infinite conducting plane at distances of \(x=+2\) units and \(x=-1\) unit respectively (see figure) w.r.t. the point of intersection of the axis with the conducting plane as origin.

The electrostatic potential along the axis will correspond to the graph in

Check Answer
Option a
Q.No:39 TIFR-2023
The electric field lines due to a uniformly polarized dielectric sphere (polarization along the positive z-axis as shown in the figure).

will look like




Check Answer
Option b
Q.No:40 TIFR-2023
Consider a solid sphere of radius \(R\) with a total charge \(Q\) distributed uniformly throughout its volume (see figure, left). The electric field measured at a distance \(x\) = \(2R\) from the centre of the sphere along the equatorial plane is found to be \(E_1\).


Next, the same charge is distributed differently, such that \(Q/2\) is concentrated at the north pole, and the remaining \(Q/2\) is concentrated at the south pole (see figure, right). The electric field is measured again at the same point on the equatorial plane and found to be \(E_2\).
The value of \(E_2/E_1\) is
(a)
\(\frac{8}{5 \sqrt{5}}\)
(b)
1
(c)
\(\frac{2}{\sqrt{5}}\)
(d)
\(\frac{4}{5}\)
Check Answer
Option a
Q.No:41 TIFR-2024
A thin spherical shell of radius \( R \) has a constant surface charge density \( \sigma \). This shell is cut symmetrically into two pieces. What is the electrostatic force between the two halves?
(a) \( \frac{\pi \sigma^2 R^2}{2 \varepsilon_0} \)
(b) \( \frac{\pi \sigma^2 R^2}{4 \varepsilon_0} \)
(c) \( \frac{\pi\sigma^2 R^2}{ \varepsilon_0} \)
(d) \( \frac{2\pi \sigma^2 R^2}{ \varepsilon_0} \)
\end{enumerate}
Check Answer
Option a
Q.No:42 TIFR-2024
Consider a charge particle detection chamber as shown in the figure below. The chamber is made of a set of parallel plates separated by 20 mm distance and connected to the external resistance \(\left( R = 100 \, \Omega \right)\) as shown in the figure along with the high voltage power supply of 1 kV.

The chamber is filled with Argon (Ar) gas (ionization energy 16 eV). If a charged particle passes through the chamber and loses sufficient energy, it ionizes the Ar atoms and generates a small voltage pulse across the resistance \( R \).
In an experiment, an alpha particle of energy 5.5 MeV enters the chamber at a distance of 4 mm from the bottom plate, as shown, generating ion-electron pairs. If the effective capacitance of the chamber is 100 pF, the measured voltage pulse shape would be best described as:
(a) A sharp voltage pulse followed by a very weak broad pulse
(b) Two sharp voltage pulses of equal magnitude and opposite signs
(c) Two sharp voltage pulses of the same magnitude and sign
(d) No voltage pulse would be generated as both electrons and ions will neutralise the charge collected by the capacitor
Check Answer
Option a
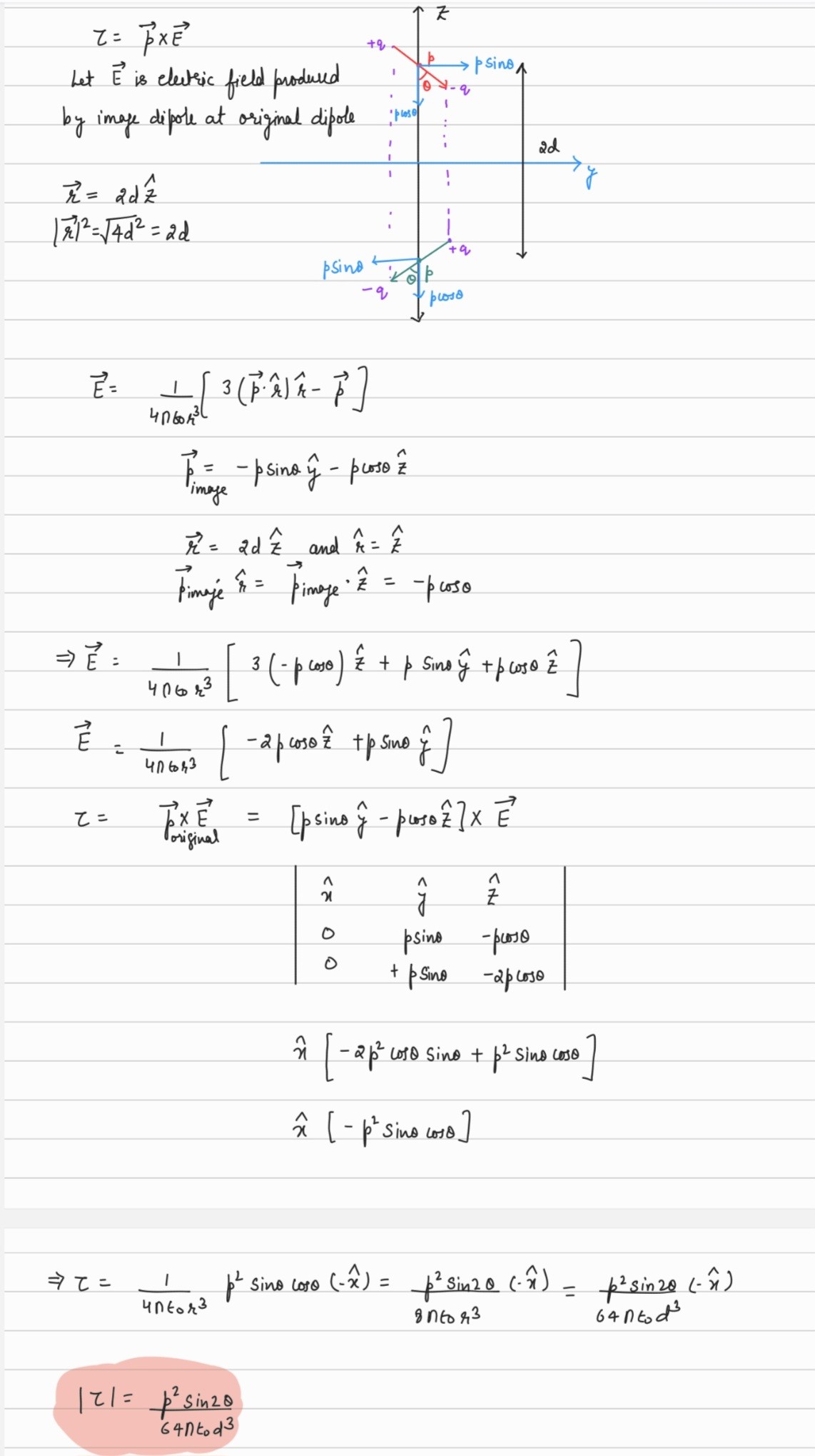
Q.No:43 TIFR-2024
Consider an electric dipole of strength \( p \) placed near a grounded infinite conducting sheet in the \(xy\) plane at a distance \( d \) from it in the \( z \) direction as shown below. The center of the dipole (\( C \)) is fixed to a pivot but the dipole is free to rotate about the \( x \) axis (coming out of the page).

What is the magnitude of the torque on the dipole when the angle between the dipole and the positive \( z \) axis is \( (\pi - \theta) \) as shown?
(a) \( \tau = \frac{p^2}{(64\pi\epsilon_0d^3)}\sin(2\theta) \)
(b) \( \tau = \frac{p^2}{(16\pi\epsilon_0d^3)}\cos(2\theta) \)
(c) \( \tau = \frac{p^2}{(64\pi\epsilon_0d^3)}\cos(\theta) \)
(d) \( \tau = \frac{p^2}{(16\pi\epsilon_0d^3)}\sin(\theta) \)
Check Answer
Option a
Q.No:44 TIFR-2024
Consider a system of three electric charges: (1) a charge \(-q\) placed at the point \((x,y,z) = (0,0,d)\), (2) a charge \(+ \alpha q\) placed at the origin and (3) a charge \(-\beta q\) placed at the point \((x,y,z) = (0,0,-d)\).

The values of \(\alpha\) and \(\beta\) are such that the monopole and dipole terms vanish in the multipole expansion of the electrostatic potential.
What is the quadrupole term of the potential at a point \((x,y,0)\)?
(a) \( \frac{q d^2}{4\pi\varepsilon_0 (x^2 + y^2)^{3/2}} \)
(b) \( \frac{q d^2}{2\pi\varepsilon_0 (x^2 + y^2)^{3/2}} \)
(c) \( 0 \)
(d) \( \frac{q}{4\pi\varepsilon_0 (x^2 + y^2)^{1/2}} \)
Check Answer
Option a
Q.No:45 TIFR-2025
The figure on the right shows a regular pentagon. The black solid circles on its
vertices represent point charges with charge \(-q\). There is no charge at the
position of the white circle at \(r\) (measured from the origin \(O\), placed at the
centre of the pentagon). The electric field at \(O\) is given by:

a) \(\displaystyle \mathbf{E}=\frac{-q\,\mathbf{r}}{4\pi\epsilon_{0} r^{3}}\)
b) \(\displaystyle \mathbf{E}=\frac{-4q\,\mathbf{r}}{4\pi\epsilon_{0} r^{3}}\)
c) \(\displaystyle \mathbf{E}=\frac{q\,\mathbf{r}}{4\pi\epsilon_{0} r^{3}}\)
d) \(\displaystyle
\mathbf{E}=\frac{-4q\bigl(\sin\frac{\pi}{10}\,\hat{x}+\cos\frac{\pi}{10}\,\hat{y}\bigr)}
{4\pi\epsilon_{0} r^{2}}
\)
Check Answer
Option a
Q.No:46 TIFR-2025
The given figure shows some charges and their coordinates in the \(x-y\) plane. The
electric potential at a point \(\vec{r}\), far from the origin, is given by:

a)\(\displaystyle
\phi=\frac{q d\bigl(\vec{r}\cdot\hat{x}+2\,\vec{r}\cdot\hat{y}\bigr)}{4\pi\epsilon_{0} r^{3}}
\)
b) \(\displaystyle
\phi=\frac{q d}{4\pi\epsilon_{0} r^{2}}
\)
c) \(\displaystyle
\phi=\frac{q d\,\vec{r}\cdot\hat{z}}{4\pi\epsilon_{0} r^{3}}
\)
d) \(\displaystyle
\phi=\frac{q d\,\vec{r}\cdot\hat{x}}{4\pi\epsilon_{0} r^{3}}
\)

Q.No.1 Discussion :
Q.No.2 Discussion :
Q.No.3 Discussion :
here charge contribution will be q/8.so will not be the answer a?
Q.No.4 Discussion :
here i am getting option a.is it ok?
Q.No.5 Discussion :
Q.No.6 Discussion :
Q.No.7 Discussion :
Q.No.8 Discussion :
Q.No.9 Discussion :
Q.No.10 Discussion :
Q.No.11 Discussion :
Q.No.12 Discussion :
Q.No.13 Discussion :
Q.No.14 Discussion :
Q.No.15 Discussion :
Q.No.16 Discussion :
Q.No.17 Discussion :
Q.No.18 Discussion :
Q.No.19 Discussion :
Q.No.20 Discussion :
Only half of the question is there
Q.No.21 Discussion :
Q.No.22 Discussion :
Q.No.23 Discussion :
Q.No.24 Discussion :
Q.No.25 Discussion :
Q.No.26 Discussion :
Q.No.27 Discussion :
Q.No.28 Discussion :
Q.No.29 Discussion :
Q.No.30 Discussion :
Q.No.31 Discussion :
Q.No.32 Discussion :
Q.No.33 Discussion :
Q.No.34 Discussion :
Q.No.35 Discussion :
Q.No.36 Discussion :
Q.No.37 Discussion :
Q.No.38 Discussion :
Q.No.39 Discussion :
Q.No.40 Discussion :
Solution 43