Q.No:1 JEST-2012
As \(x\to 1\), the infinite series \(x-\frac{1}{3}x^3+\frac{1}{5}x^5-\frac{1}{7}x^7+...\)
(a)
diverges
(b)
converges to unity
(c)
converges to \(\pi/4\)
(d)
none of the above
Check Answer
Option c
Q.No:2 JEST-2012
What is the value of the following series?
\[
\left(1+\frac{1}{2!}+\frac{1}{4!}+\cdots\right)^2-\left(1+\frac{1}{3!}+\frac{1}{5!}+\cdots\right)^2
\]
(a)
\(0\)
(b)
\(e\)
(c)
\(e^2\)
(d)
\(1\)
Check Answer
Option d
Q.No:3 JEST-2013
The equation describing the shape of a curved mirror with the property that the light from a point source at the origin will be reflected in a beam of rays parallel to the \(x\)-axis is (with \(a\) as some constant)
(a)
\(y^2=ax+a^2\)
(b)
\(2y=x^2+a^2\)
(c)
\(y^2=2ax+a^2\)
(d)
\(y^2=ax^3+2a^2\)
Check Answer
Option c
Q.No:4 JEST-2013
What is the value of the following series?
\[
\left(1-\frac{1}{2!}+\frac{1}{4!}-\cdots\right)^2+\left(1-\frac{1}{3!}+\frac{1}{5!}-\cdots\right)^2
\]
(a)
\(0\)
(b)
\(e\)
(c)
\(e^2\)
(d)
\(1\)
Check Answer
Option d
Q.No:5 JEST-2014
In the mixture of isotopes normally found on the earth at the present time, \ce{^{238}_{92} U} has an abundance of \(99.3\%\) and \ce{^{235}_{92} U} has an abundance of \(0.7\%\). The measured lifetimes of these isotopes are \(6.52\times l0^9\) years and \(1.02\times 10^9\) years, respectively. Assuming that they were equally abundant when the earth was formed, the estimated age of the earth, in years is
(a)
\(6.0\times 10^9\)
(b)
\(1.0\times 10^9\)
(c)
\(6.0\times 10^8\)
(d)
\(1.0\times 10^8\)
Check Answer
Option a
Q.No:6 JEST-2015
The sum \(\sum_{m=1}^{99} \frac{1}{\sqrt{m+1}+\sqrt{m}}\) is equal to
(a)
\(9\)
(b)
\(\sqrt{99}-1\)
(c)
\(\frac{1}{(\sqrt{99}-1)}\)
(d)
\(11\)
Check Answer
Option
Q.No:7 JEST-2016
The output intensity \(I\) of radiation from a single mode of resonant cavity obeys
\[
\frac{d}{dt}I=-\frac{\omega_0}{Q}I,
\]
where \(Q\) is the quality factor of the cavity and \(\omega_0\) is the resonant frequency. The form of the frequency spectrum of the output is:
(A)
Delta function
(B)
Gaussian
(C)
Lorentzian
(D)
Exponential
Check Answer
Option C
Q.No:8 JEST-2018
If an abelian group is constructed with two distinct elements \(a\) and \(b\) such that \(a^2=b^2=I\), where \(I\) is the group identity. What is the order of the smallest abelian group containing \(a, b\) and \(I\)?
Check Answer
Ans 04
Q.No:9 JEST-2018
If \(F(x, y)=x^2+y^2+xy\), its Legendre transformed function \(G(u, v)\), upto a multiplicative constant, is
(A)
\(u^2+v^2+uv\)
(B)
\(u^2+v^2-uv\)
(C)
\(u^2+v^2\)
(D)
\((u+v)^2\)
Check Answer
Option B
Q.No:10 JEST-2019
Which one of the following vectors lie along the line of intersection of the two planes \(x+3y-z=5\) and \(2x-2y+4z=3\)?
(A)
\(10\hat{i}-2\hat{j}+5\hat{k}\)
(B)
\(10\hat{i}-6\hat{j}-8\hat{k}\)
(C)
\(10\hat{i}+2\hat{j}+5\hat{k}\)
(D)
\(10\hat{i}-2\hat{j}-5\hat{k}\)
Check Answer
Option B
Q.No:11 JEST-2019
What is the change in the kinetic energy of rotation of the earth if its radius shrinks by \(1\%\)? Assume that the mass remains the same and the density is uniform.
(A)
increases by \(1\%\)
(B)
increases by \(2\%\)
(C)
decreases by \(1\%\)
(D)
decreases by \(2\%\)
Check Answer
Option B
Q.No:12 JEST-2021
What value the following infinite series will converge to?
\[
\sum_{n=1}^{\infty} \frac{n^2}{2^n}
\]
(A)
\(\pi^2/6\)
(B)
\(1/2\)
(C)
\(3\)
(D)
\(6\)
Check Answer
Option D
Q.No:13 JEST-2021
Consider the infinite series
\[
\exp{\left[\left(x+\frac{x^3}{3}+\cdots\right)^2-\left(\frac{x^2}{2}+\frac{x^4}{4}+\cdots\right)^2\right]}.
\]
Which of the following represents this series?
(A)
\((1+x)^{\ln{(1-x)}}\)
(B)
\(\exp{[\sin^2{x}-(\cos{x}-1)^2]}\)
(C)
\(\exp{(xe^x)}\)
(D)
\((1-x)^{-\ln{(1+x)}}\)
Check Answer
Option D
Q.No:14 JEST-2021
Evaluate the integral to the nearest integer
\[
\mathcal{I}=100\int_{0}^{\infty} \frac{dt}{t}[\exp{(-t)}-\exp{(-10t)}]
\]
Check Answer
Ans 230
Q.No:15 JEST-2021
Consider a real tensor \(T_{ijk}\) with \(i, j, k=1, ..., 5\). It has the following properties:
\[
T_{ijk}=T_{jik}=T_{ikj}, \sum_{i} T_{iik}=0.
\]
What is the number of independent real components of this tensor?
Check Answer
Ans 30
Q.No:16 JEST-2022
If \(\theta\) and \(\phi\) are respectively the polar and azimuthal angles on the unit sphere, what is \(\langle \cos^2(\theta)\rangle\) and \(\langle \sin^2(\theta)\rangle\), where \(\langle \mathcal{O}\rangle\) denotes the average of \(\mathcal{O}\)?
(A)
\(\langle \cos^2(\theta)\rangle=1/3\) and \(\langle \sin^2(\theta)\rangle=2/3\)
(B)
\(\langle \cos^2(\theta)\rangle=1/2\) and \(\langle \sin^2(\theta)\rangle=1/2\)
(C)
\(\langle \cos^2(\theta)\rangle=3/4\) and \(\langle \sin^2(\theta)\rangle=1/4\)
(D)
\(\langle \cos^2(\theta)\rangle=2/3\) and \(\langle \sin^2(\theta)\rangle=1/3\)
Check Answer
Option A
Q.No:17 JEST-2022
The function \(f(x)\) shown below has non-zero values only in the range \(0<x<a\).

Which of the following figure represents \(f(3x)\)?




Check Answer
Option A
Q.No:18 JEST-2022
The trajectory of a particle which undergoes simple harmonic motion on a plane is shown in the figure. The ratio of the frequencies for the motion along \(x\) and \(y\) directions is given by

(A)
\(\frac{3}{5}\)
(B)
\(\frac{2}{3}\)
(C)
\(\frac{2}{3}\)
(D)
\(\frac{4}{5}\)
Check Answer
Option A
Q.No:19 JEST-2022
\(G=\{e, a, a^2, b, ba, ba^2\}\) is a group of order \(6\). \(e\) is the identity element and \(a\) is of order \(3\). What could be the order of the element \(b\)?
(A)
\(2\)
(B)
\(3\)
(C)
\(1\)
(D)
Can't be determined
Check Answer
Option A
Q.No:20 JEST-2024
Let \((G, \circ)\) be a discrete group of order 4 where the group operation ‘\(\circ\)’ among the various elements of \(G = \{e, a, b, c\}\) is given by the following multiplication table:

Which of the following is correct?
(a) \((G, \circ)\) is non-cyclic and abelian.
(b) \((G, \circ)\) is cyclic and abelian.
(c) \((G, \circ)\) is cyclic and non-abelian.
(d) \((G, \circ)\) is non-cyclic and non-abelian.
Check Answer
Option A
Q.No:21 JEST-2025
Consider the standard notation of discrete finite groups:
\(\mathbb{Z}_n\) corresponds to rotations by \(2\pi/n\) about a given axis,
\(S_n\) corresponds to the permutation group of a set \(S = \{1,2,3,\ldots,n\}\),
and the dihedral group \(D_n\) corresponds to the reflection and rotation symmetries
of a regular polygon with \(n\) sides.
Which of the following is the smallest non-abelian group?
a) \(\mathbb{Z}_3\)
b) \(S_3\)
c) \(D_4\)
d) \(S_4\)
Check Answer
Option b
Q.No:22 JEST-2025
Consider the group \(S_4\) corresponding to the permutations of the set
\(S = \{1,2,3,4\}\).
How many non-identity self-inverse (i.e. order 2) elements does \(S_4\) have?
a) 6
b) 9
c) 8
d) 12
Check Answer
Option b
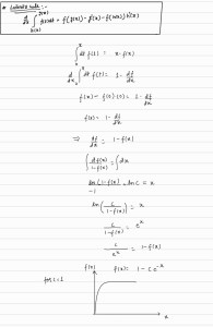
Q.No:1 TIFR-2014
The solution of the integral equation
\[
f(x)=x-\int_{0}^{x} dt f(t)
\]
has the graphical form

Check Answer
Option b
Q.No:2 TIFR-2015
In a cold country, in winter, a lake was freezing slowly. It was observed that it took \(2\) hours to form a layer of ice \(2 cm\) thick on the water surface. Assuming a constant thermal conductivity throughout the layer, the thickness of ice would get doubled after
(a)
\(2\) more hours.
(b)
\(4\) more hours.
(c)
\(6\) more hours.
(d)
\(8\) more hours.
Check Answer
Option c
Q.No:3 TIFR-2016
The integral
\[
\int_{0}^{\infty} \frac{dx}{x} \left[\exp{\left(-\frac{x}{\sqrt{3}}\right)}-\exp{\left(-\frac{x}{\sqrt{2}}\right)}\right]
\]
evaluates to
(a)
zero
(b)
\(2.03\times 10^{-2}\)
(c)
\(2.03\times 10^{-1}\)
(d)
\(2.03\)
Check Answer
Option c
Q.No:4 TIFR-2016
Given the infinite series
\[
y(x)=1+3x+6x^2+10x^3+\cdots +\frac{(n+1)(n+2)}{2}x^n+\cdots
\]
find the value of \(y(x)\) for \(x=6/7\).
Check Answer
Ans 343
Q.No:5 TIFR-2017
A solid tetrahedron (solid with four plane sides) has the following projections (drawn to scale) when seen from three different sides:

When viewed from the front, its projection will be

Check Answer
Option a
Q.No:6 TIFR-2018

Refer to the figure above. If the \(z\)-axis points out of the plane of the paper towards you, the triangle marked `A' can be transformed (and suitably re-positioned) to the triangle marked `B' by
(a)
rotation about \(x\)-direction by \(\pi/2\), then rotation by \(-\pi/2\) in the \(yz\)-plane
(b)
rotation about \(z\)-direction by \(\pi/2\), then reflection in the \(yz\)-plane
(c)
reflection in the \(yz\)-plane, then rotation by \(\pi/2\) about \(z\)-direction
(d)
reflection in the \(xz\)-plane, then rotation by \(-\pi/2\) about \(z\)-direction
Check Answer
Option b
Q.No:7 TIFR-2018
Consider the two equations
\[
\begin{array}{rcl}
\frac{x^2}{3}+\frac{y^2}{2} & = & 1 \\
x^3-y & = & 1
\end{array}
\]
How many simultaneous real solutions does this pair of equations have?
Check Answer
Ans 2
Q.No:8 TIFR-2018
Given the following \(xy\) data

which of the following would be the best curve, with constant positive parameters \(a\) and \(b\), to fit this data?
(a)
\(y=ax-b\)
(b)
\(y=a+\exp{bx}\)
(c)
\(y=a\log_{10}{bx}\)
(d)
\(y=a-\exp{(-bx)}\)
Check Answer
Option a
Q.No:9 TIFR-2018
Two students A and B try to measure the time period \(T\) of a pendulum using the same stopwatch, but following two different methods. Student A measures the time taken for one oscillation, repeats this process \(N\) (\(\gg 1\)) times and computes the average. On the other hand, Student B just once measures the time taken for \(N\) oscillations and divides that number by \(N\).
Which of the following statements is true about the errors in \(T\) as measured by A and by B?
(a)
The measurement made by A has a larger error than that made by B.
(b)
The measurement made by A has a smaller error than that made by B.
(c)
A and B will measure the time period with the same accuracy.
(d)
It is not possible to determine if the measurement made by A or B has the larger error.
Check Answer
Option a
Q.No:10 TIFR-2018
A fourth rank Cartesian tensor \(T_{ijk\ell}\) satisfies the following identities
(i) \(T_{ijk\ell}=T_{jik\ell}\)
(ii) \(T_{ijk\ell}=T_{ij\ell k}\)
(iii) \(T_{ijk\ell}=T_{k\ell ij}\)
Assuming a space of three dimensions (i.e. \(i, j, k=1, 2, 3\)), what is the number of independent components of \(T_{ijk\ell}\)?
Check Answer
Ans
Q.No:11 TIFR-2019
Which of the following operations will transform a tetrahedron ABCD with vertices as listed below

into a tetrahedron ABCD with vertices as listed below

up to suitable translation?
(a)
A rotation about \(x\) axis by \(\pi/2\), then a rotation about \(z\) axis by \(\pi/2\)
(b)
A reflection in the \(xy\) plane, then a rotation about \(x\) axis by \(\pi/2\)
(c)
A reflection in the \(yz\) plane, then a reflection in the \(xy\) plane
(d)
A rotation about \(y\) axis by \(\pi/2\), then a reflection in the \(xz\) plane
Check Answer
Option a
Q.No:12 TIFR-2020
The sum of the infinite series
\[
S=1+\frac{3}{5}+\frac{6}{25}+\frac{10}{125}+\frac{15}{625}+\cdots
\]
is given by
(a)
\(S=\frac{125}{64}\)
(b)
\(S=\frac{25}{16}\)
(c)
\(S=\frac{25}{24}\)
(d)
\(S=\frac{16}{25}\)
Check Answer
Option a
Q.No:13 TIFR-2021
The integral
\[
I=\int_{1/2}^{3/4} dx \exp{\left\{-\exp{\left(\frac{1}{x}\right)}\right\}}
\]
evaluates to \(I=\)
(a)
\(0.00215\)
(b)
\(\exp{\sqrt{2}}\)
(c)
\(1.762633\)
(d)
\(-\exp{(-1)}\)
Check Answer
Option a
Q.No:14 TIFR-2021
In an archery contest, the aim is to shoot arrows at the center of a board. Three archers, Amar, Akbar and Anthony each shot \(5\) arrows at the board. The locations of their arrow hits are shown in the figures with red stars. Which of the following statements are true?

(a)
Akbar has more precision than Anthony
(b)
Amar has more precision than Akbar
(c)
Akbar has more accuracy than Anthony
(d)
Amar has more accuracy than Anthony
Check Answer
Option a
Q.No:15 TIFR-2021
Given the following \(x\)-\(y\) data table

which would be the best-fit curve, where \(a\) and ˜\(b\) are constant positive parameters?
(a)
\(y=bx^{1/(1+a)}\)
(b)
\(y=ax-b\)
(c)
\(y=a+e^{bx}\)
(d)
\(y=a\log_{10}{bx}\)
Check Answer
Option a
Q.No:16 TIFR-2022
Consider a square which can undergo rotations and reflections about its centre, where making no transformation at all is counted as a rotation by \(0^\circ\). The total number of such distinct rotations and reflections which will keep the square unchanged is
(a)
8
(b)
4
(c)
16
(d)
32
Check Answer
Option a
Q.No:17 TIFR-2024
Let
\[ F(\lambda) = \int_{-\infty}^{+\infty} e^{\lambda x - x^2} \, dx \]
If the Taylor series expansion of \( F(\lambda) \) around \( \lambda = 0 \) is
\[ F(\lambda) = F_0 + F_1\lambda + F_2\lambda^2 + \ldots \]
then the value of \( F_2 \) is:
(You might find the following integral useful: \( \int_{-\infty}^{+\infty} e^{-\alpha x^2} \, dx = \sqrt{\frac{\pi}{\alpha}} \) for \( \alpha > 0 \))
(a) \( \sqrt{\pi}/4 \)
(b) \( \sqrt{\pi}/8 \)
(c) \( \sqrt{\pi}/2 \)
(d) \( \sqrt{\pi} \)
Check Answer
Option a
Q.No:18 TIFR-2024
The following series
\[
S = \sum_{n=1}^{\infty} (-1)^{1+n} \frac{1}{n 2^{4n}}
\]
has the sum
(a) \( S = \ln \left( \frac{17}{16} \right) \)
(b) \( S = \sqrt{\frac{17}{16}} \)
(c) \( S \) is not convergent
(d) \( S = \frac{1}{1 + \sqrt{\frac{1}{16}}} \)
Check Answer
Option a
Q.No:19 TIFR-2025
The asymptotic expansion of the following function for \(x \to \infty\),
\[
x\,\tanh^{-1}\!\left(\frac{1}{x}\right),
\]
is given by
a) \(1 + \frac{1}{3x^{2}} + \frac{1}{5x^{4}} + \frac{1}{7x^{6}} + \cdots\)
b) \(1 - \frac{1}{3x^{2}} + \frac{1}{5x^{4}} - \frac{1}{7x^{6}} + \cdots\)
c) \(x + \frac{1}{2x} + \frac{1}{4x^{3}} + \frac{1}{6x^{5}} + \cdots\)
d) \(1 + \frac{1}{2x^{2}} + \frac{1}{4x^{4}} + \frac{1}{6x^{6}} + \cdots\)

TIFR 2014 Question 1