Q.No:1 JEST-2012
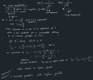
For small angular displacements (i.e., \(\sin{\theta}\approx \theta\)), a simple pendulum oscillates harmonically. For larger displacements, the motion
(a)
becomes aperiodic
(b)
remains periodic with the same period
(c)
remains periodic with a higher period
(d)
remains periodic with a lower period
Check Answer
Option c
Q.No:2 JEST-2012
A girl measures the period of a simple pendulum inside a stationary lift and finds it to be \(T\) seconds. If the lift accelerates upward with an acceleration \(g/4\), then the period of the pendulum will be
(a)
\(T\)
(b)
\(T/4\)
(c)
\(2T/\sqrt{5}\)
(d)
\(2T\sqrt{5}\)
Check Answer
Option c
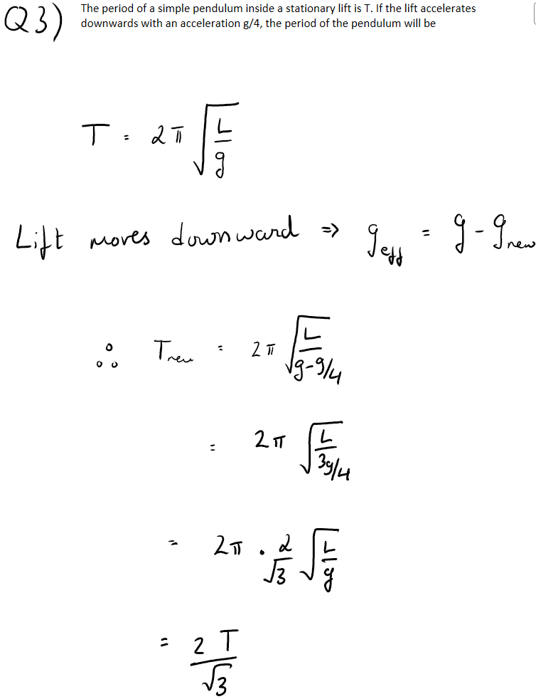
Q.No:3 JEST-2013
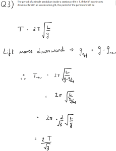
The period of a simple pendulum inside a stationary lift is \(T\). If the lift accelerates downwards with an acceleration \(g/4\), the period of the pendulum will be
(a)
\(T\)
(b)
\(T/4\)
(c)
\(2T/\sqrt{3}\)
(d)
\(2T/\sqrt{5}\)
Check Answer
Option c
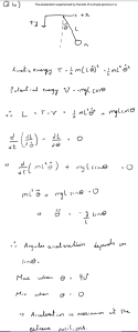
Q.No:4 JEST-2014
The acceleration experienced by the bob of a simple pendulum is
(a)
maximum at the extreme positions
(b)
maximum at the lowest (central) positions
(c)
maximum at a point between the above two positions
(d)
same at all positions
Check Answer
Option a
Q.No:5 JEST-2014
Consider a Hamiltonian system with a potential energy function given by \(V(x)=x^2-x^4\). Which of the following is correct?
(d)
The system has one stable point
(d)
The system has two stable points
(d)
The system has three stable points
(d)
same at all positions
Check Answer
Option a
Q.No:6 JEST-2016
For the coupled system shown in the figure, the normal coordinates are \(x_1+x_2\) and \(x_1-x_2\), corresponding to the normal frequencies \(\omega_0\) and \(\sqrt{3}\omega_0\), respectively.

At \(t=0\), the displacements are \(x_1=A, x_2=0\), and the velocities are \(v_1=v_2=0\). The displacement of the second particle at time \(t\) is given by:
(A)
\(x_2(t)=\frac{A}{2}\left(\cos{(\omega_0 t)}+\cos{(\sqrt{3}\omega_0 t)}\right)\)
(B)
\(x_2(t)=\frac{A}{2}\left(\cos{(\omega_0 t)}-\cos{(\sqrt{3}\omega_0 t)}\right)\)
(C)
\(x_2(t)=\frac{A}{2}\left(\sin{(\omega_0 t)}-\sin{(\sqrt{3}\omega_0 t)}\right)\)
(D)
\(x_2(t)=\frac{A}{2}\left(\sin{(\omega_0 t)}-\frac{1}{\sqrt{3}}\sin{(\sqrt{3}\omega_0 t)}\right)\)
Check Answer
Option B
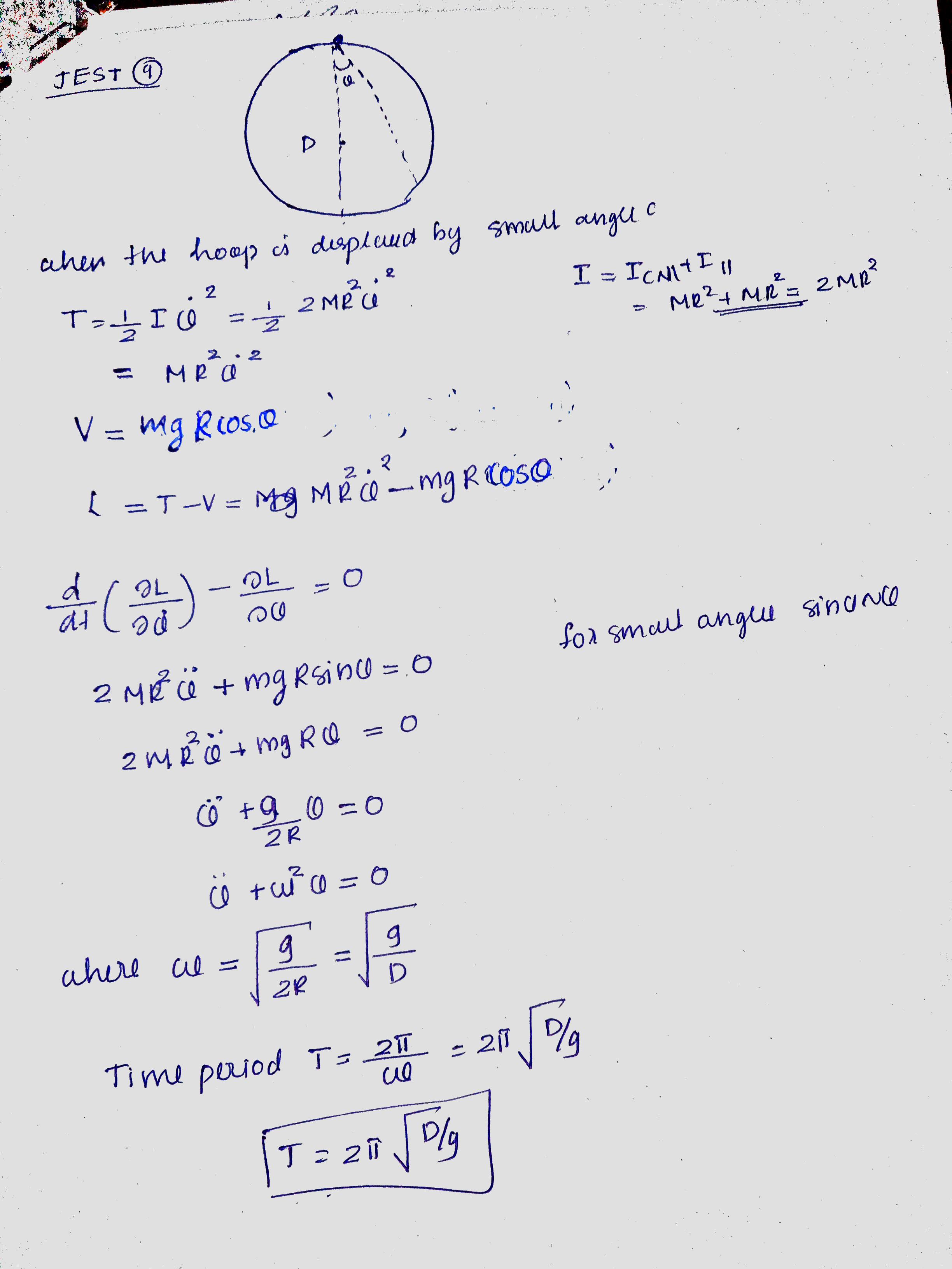
Q.No:7 JEST-2017
A simple pendulum has a bob of mass \(1 Kg\) and charge \(1\) Coulomb. It is suspended by a massless string of length \(13 m\). The time period of small oscillations of this pendulam is \(T_0\). If an electric field \(\vec{E}=100\hat{x} V/m\) is applied, the time period becomes \(T\). What is the value of \((T_0/T)^4\)?

Check Answer
Ans 101
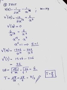
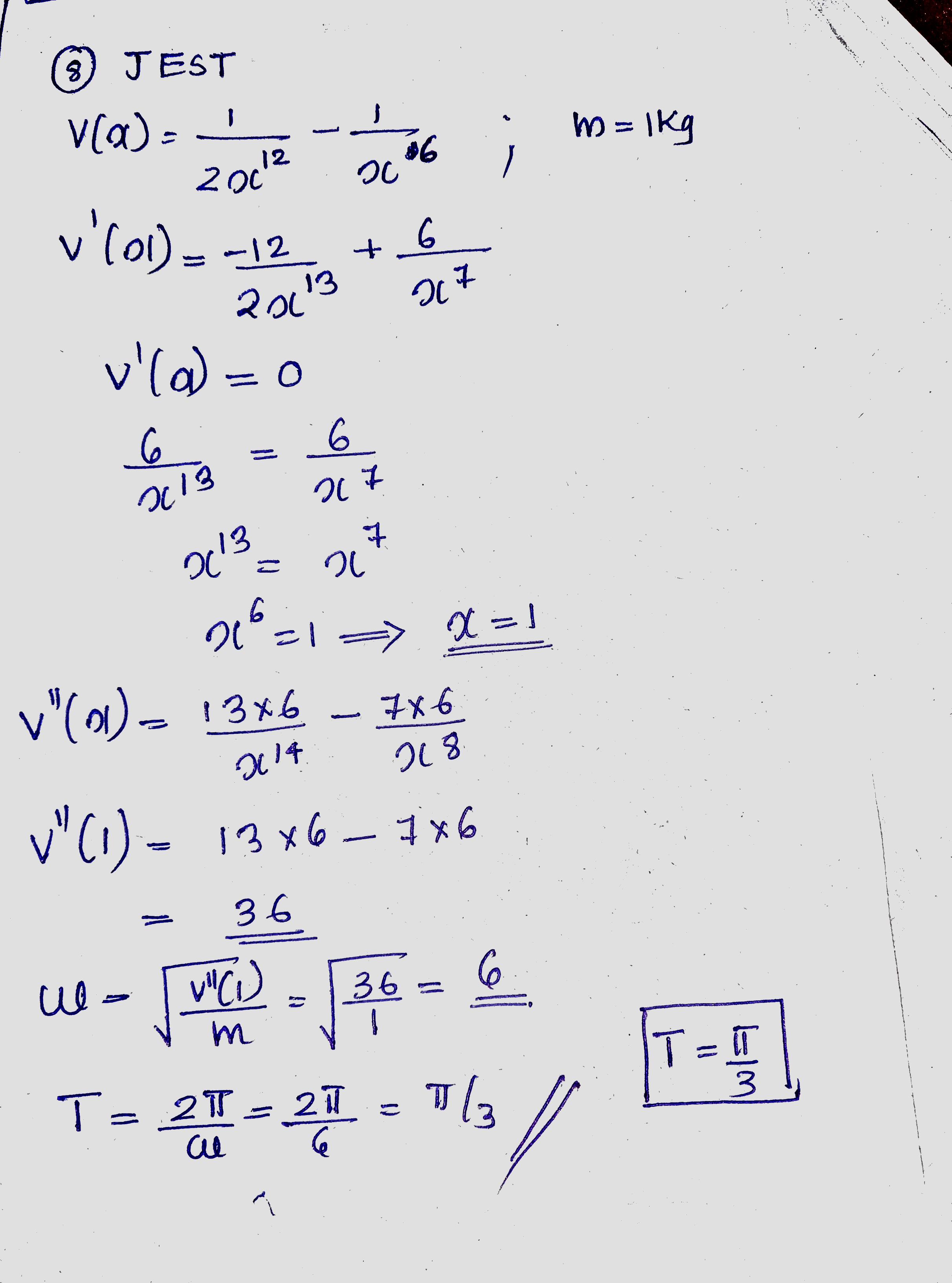
Q.No:8 JEST-2018
A particle of mass \(1 kg\) is undergoing small oscillation about the equilibrium point in the potential \(V(x)=\frac{1}{2x^{12}}-\frac{1}{x^6}\) for \(x>0\) meters. The time period (in seconds) of the oscillation is
(A)
\(\pi/2\)
(B)
\(\pi/3\)
(C)
\(1.0\)
(D)
\(\pi\)
Check Answer
Option B
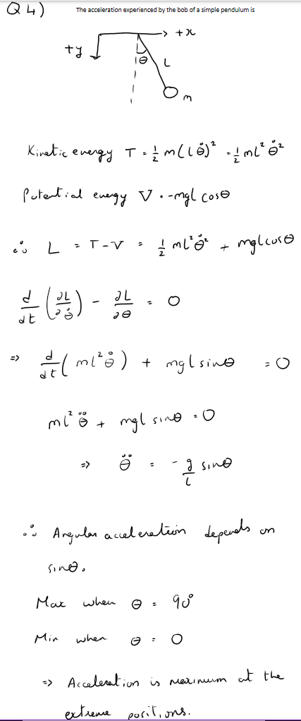
Q.No:9 JEST-2019
A hoop of diameter \(D\) is pivoted at the topmost point on the circumference as shown in the figure. The acceleration due to gravity \(g\) is acting downwards. What is the time period of small oscillations in the plane of the hoop?

(A)
\(2\pi\sqrt{\frac{D}{2g}}\)
(B)
\(2\pi\sqrt{\frac{5D}{6g}}\)
(C)
\(2\pi\sqrt{\frac{D}{g}}\)
(D)
\(2\pi\sqrt{\frac{2D}{g}}\)
Check Answer
Option C
Q.No:10 JEST-2021
Two equal masses A and B are connected to a fixed support at the origin by two identical springs with spring constant \(K\) and the same unstretched length \(L\). They are also connected to each other by a spring with spring constant \(K'\) and unstretched length \(\sqrt{2}L\). The equilibrium position, with all springs unstretched, is shown in the figure. If A is constrained to move only along the \(x\) axis and B is constrained to move only along the \(y\) axis, then the angular frequencies \(\omega_1, \omega_2\) of the normal modes are

(A)
\(\omega_1=\sqrt{\frac{K}{m}}, \omega_2=\sqrt{\frac{K+K'}{m}}\)
(B)
\(\omega_1=\sqrt{\frac{K}{m}}, \omega_2=\sqrt{\frac{2K'}{m}}\)
(C)
\(\omega_1=\sqrt{\frac{2K}{m}}, \omega_2=\sqrt{\frac{K+K'}{m}}\)
(D)
\(\omega_1=\sqrt{\frac{K}{m}}, \omega_2=\sqrt{\frac{K+2K'}{m}}\)
Check Answer
Option A
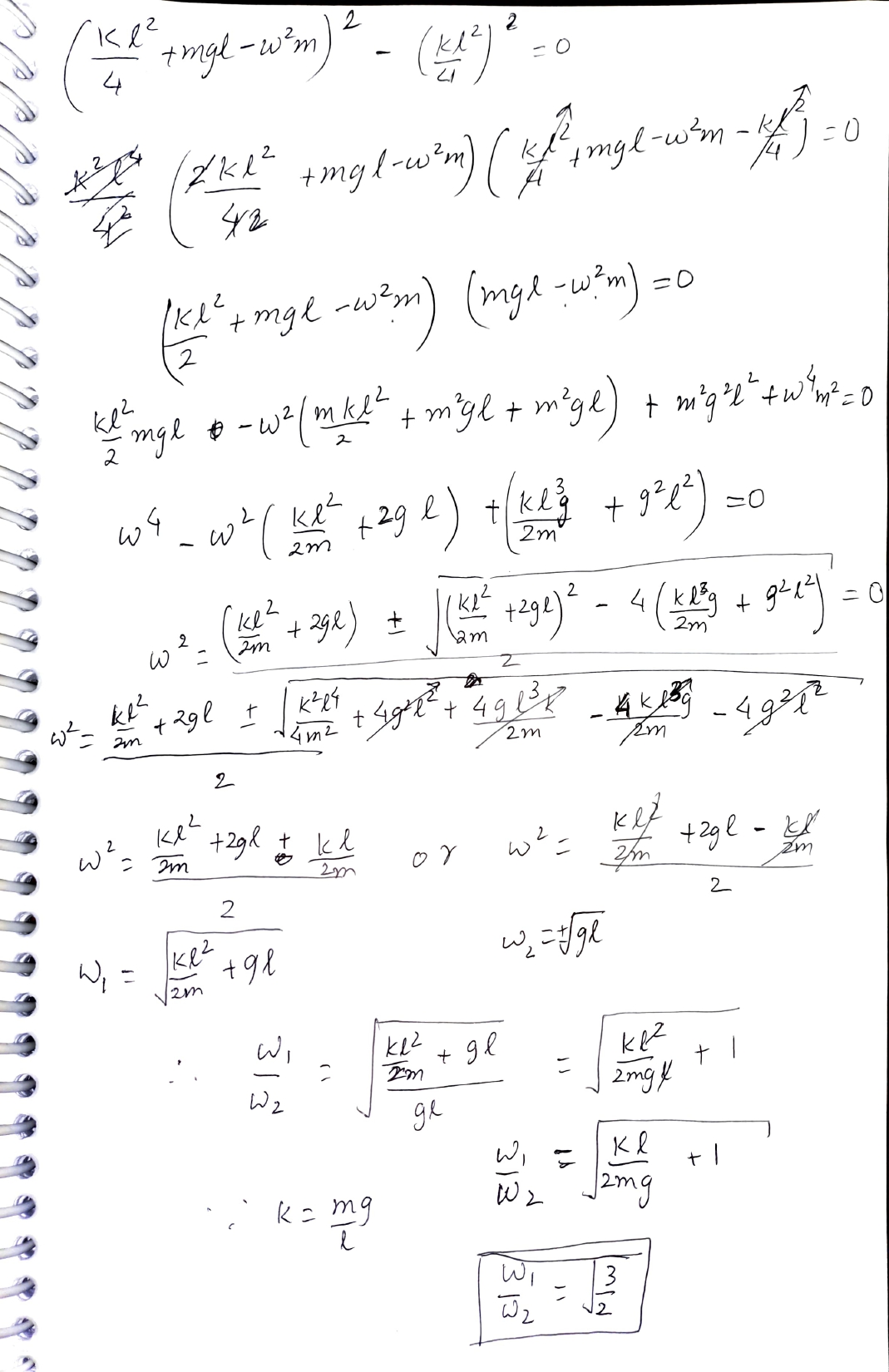
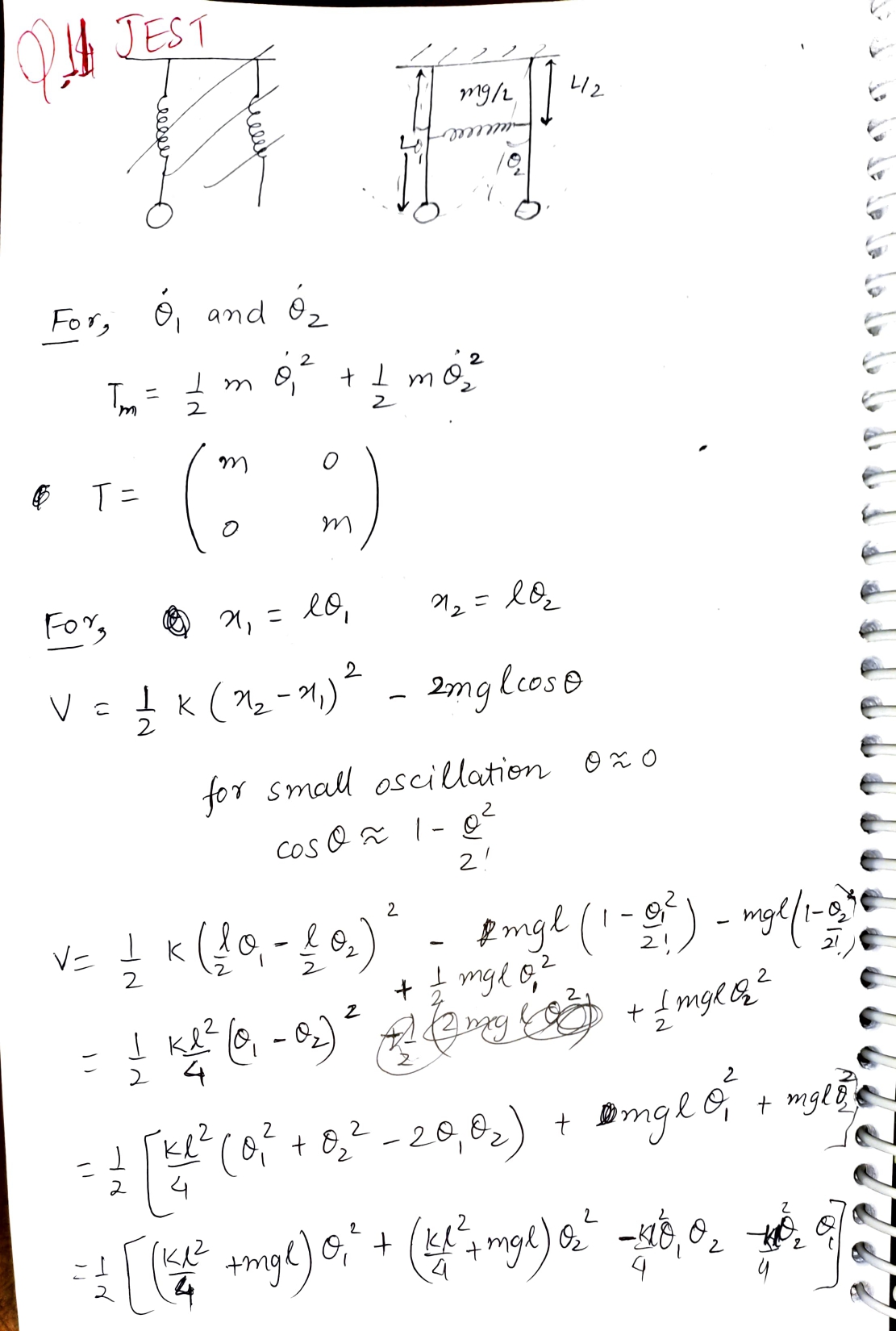
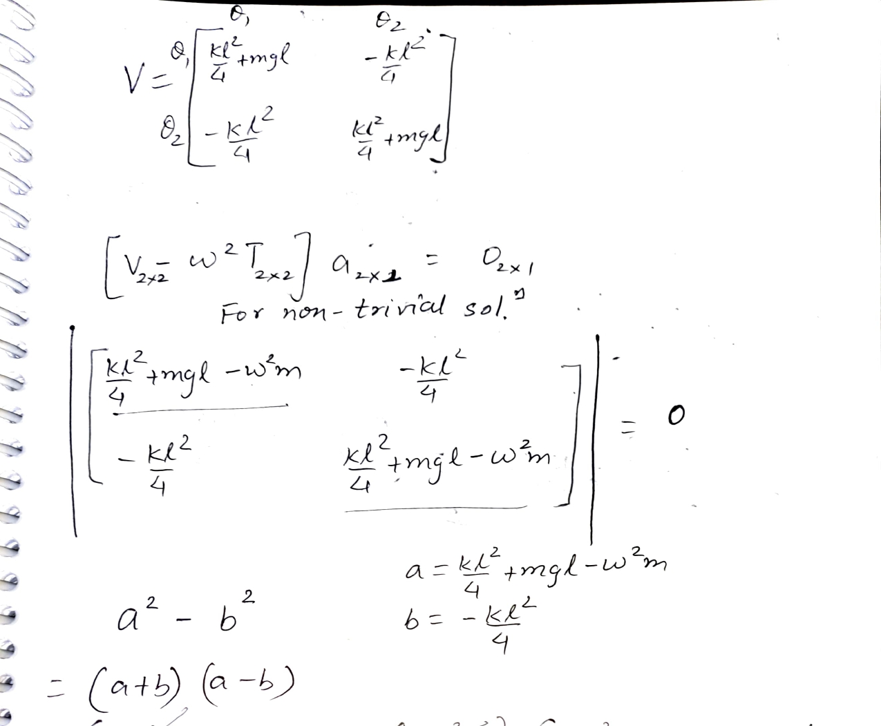
Q.No:11 JEST-2022
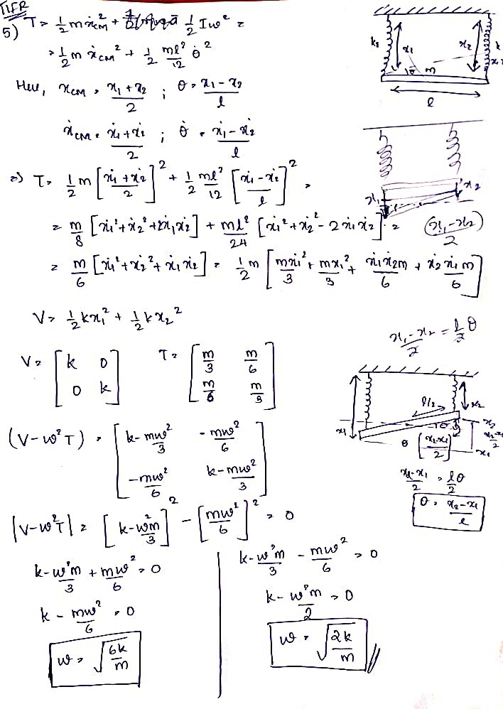
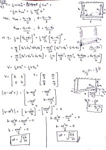
Two identical simple pendula of length \(L\) are connected by a spring at a height of \(L/2\) as shown in the figure. Assuming the spring constant is \(mg/L\), where \(m\) is the mass of the bob and \(g\) is the acceleration due to gravity, what is the ratio of the highest to lowest eigenfrequencies of the system?

(a)
\(\sqrt{3/2}\)
(b)
\(1\)
(c)
\(\sqrt{2}\)
(d)
\(\sqrt{3}\)
Check Answer
Option a
Q.No:12 JEST-2023
The force experienced by a mass confined to move along the x-axis is of the form \(F(x)=-k_1 x-k_2 x^n\) \(n\) where \(x\) is the displacement of the mass from \(x = 0, k_1\) and \(k_2\) are positive constants and \(n\) is a positive integer. For small displacements, the motion of the mass remains symmetric about \(x = 0\)
(a) when \(n\) is any positive integer.
(b) when \(n\) is an odd positive integer.
(c) only when \(n = 1\).
(d) when \(n\) is an even positive integer.
Check Answer
Option b
Q.No:13 JEST-2024
A point mass \( m \) constrained to move along the X-axis is under the influence of gravitational attraction from two point particles each of mass \( M \) fixed at the points \( (x = 0, y = a) \) and \( (x = 0, y = -a) \). Find the time period of small oscillations of the mass \( m \) in units of \(\pi \sqrt{\frac{a^3}{8GM}} \), where \( G \) is the universal gravitational constant.
Check Answer
Ans 4
Q.No:14 JEST-2025
A block, suspended from a massless spring, is fully immersed in a liquid contained in a reservoir.
What is the time period of small oscillations of the block?
[Given: Mass of the block \(m\), density of the block \(\rho_b\), natural length of the spring \(L\),
spring constant \(k\), acceleration due to gravity \(g\), density of the liquid \(\rho_l\),
and damping coefficient of the liquid i.e., damping per unit mass per unit velocity \(\gamma\).]
a) \(2\pi \sqrt{\frac{L}{(1-\rho_l/\rho_b)\,g}}\)
b) \(2\pi \sqrt{\frac{1}{k/m - \gamma^{2}/4}}\)
c) \(2\pi \sqrt{\frac{m}{k}}\)
d) \(2\pi \sqrt{\frac{1}{k/m + \gamma^{2}/4}}\)
Check Answer
Option b
Q.No:1 TIFR-2013
A particle of mass \(m\) moves in one dimension under the influence of a potential energy
\[
V(x)=-a\left(\frac{x}{\ell}\right)^2+b\left(\frac{x}{\ell}\right)^4
\]
where \(a\) and \(b\) are positive constants and \(\ell\) is a characteristic length. The frequency of small oscillations about a point of stable equilibrium is
(a)
\(\frac{1}{2\pi \ell}\frac{b}{m}\)
(b)
\(\frac{1}{\pi \ell}\frac{a}{m}\)
(c)
\(\frac{1}{\pi \ell}\frac{a^2}{mb}\)
(d)
\(\frac{2b}{\pi \ell}\frac{1}{ma}\)
Check Answer
Option b
Q.No:2 TIFR-2017
Two masses \(3m\) and \(2m\) are suspended vertically by identical massless springs, each of stiffness constant \(k\). The mass \(2m\) is suspended from the mass \(3m\) and the mass \(3m\) is suspended from a rigid support, as shown in the figure. If only vertical motion is permitted, the frequencies of small oscillations of this system are

(a)
\(\sqrt{\frac{k}{m}}, \sqrt{\frac{k}{6m}}\)
(b)
\(\sqrt{\frac{k}{2m}}, \sqrt{\frac{k}{3m}}\)
(c)
\(\sqrt{\frac{k}{m}}, \sqrt{\frac{3k}{2m}}\)
(d)
\(\sqrt{\frac{2k}{3m}}, \sqrt{\frac{3k}{2m}}\)
Check Answer
Option a
Q.No:3 TIFR-2019
Two bodies A and B of equal mass are suspended from two rigid supports by separate massless springs having spring constants \(k_1\) and \(k_2\) respectively. if the bodies oscillate vertically such that their maximum velocities are equal, the ratio of the amplitude of oscillations of A to that of B is

(a)
\(k_1/k_2\)
(b)
\(k_2/k_1\)
(c)
\(\sqrt{k_1/k_2}\)
(d)
\(\sqrt{k_2/k_1}\)
Check Answer
Option d
Q.No:4 TIFR-2020
A particle of mass \(m\) hangs from a light spring inside a lift (see figure). When the lift is at rest, the mass oscillates in the vertical direction with an angular frequency \(2.5 \text{rad}/\text{s}\). Now consider the following situation.

The suspended mass is at rest inside the lift which is descending vertically at a speed of \(0.5 \text{m}/\text{s}\). If the lift suddenly stops, the amplitude of oscillations of the mass will be
(a)
\(0.20 \hspace{1mm}\text{m}\)
(b)
\(0.25 \hspace{1mm}\text{m}\)
(c)
\(0.05 \hspace{1mm}\text{m}\)
(d)
\(1.25 \hspace{1mm}\text{m}\)
Check Answer
Option a
Q.No:5 TIFR-2020
A uniform rod of length \(\ell\) and mass \(m\) is suspended horizontally from a rigid support by two identical massless springs, each with stiffness constant \(k\), as sketched below.

If the springs can move only in the vertical direction, the frequency of small oscillations of the rod about equilibrium is given by
(a)
\(\sqrt{2k/m}\) and \(\sqrt{6k/m}\)
(b)
\(\sqrt{2k/m}\) and \(\sqrt{2\pi k/m}\)
(c)
\(\sqrt{\pi k/2m}\) and \(\sqrt{6k/m}\)
(d)
\(\sqrt{k/m}\) and \(\sqrt{2\pi k/m}\)
Check Answer
Option a
Q.No:6 TIFR-2022
A system with two generalized coordinates \((q_1, q_2)\) is described by the Lagrangian
\[L=m(\dot{q}_1^2+2 \dot{q}_1 \dot{q}_2 +\frac{3}{2} \dot{q}_2^2)-k(\frac{3}{2} q_1^2 +2 q_1 q_2+q_2 ^2 ) \]
where \(m\) is the mass, and \(k\) is a constant.
This system can execute oscillations with two possible time periods
(a)
\(T=2\pi \sqrt{\frac{2m}{k}} \hspace{5mm}\) and \(\hspace{5mm}T=2\pi \sqrt{\frac{m}{2k}}\)
(b)
\(T=2\pi \sqrt{\frac{m}{2k}(5-2\sqrt{6})} \hspace{2mm}\) and \(\hspace{2mm}T=2\pi \sqrt{\frac{m}{2k}(5+2\sqrt{6})}\)
(c)
\(T=\pi \sqrt{\frac{m}{k}(1-\sqrt{15})} \hspace{2mm}\) and \(\hspace{2mm}T=\pi \sqrt{\frac{m}{k}(1+\sqrt{15})}\)
(d)
\(T=2\pi \sqrt{\frac{2m}{3k}} \hspace{5mm}\) and \(\hspace{5mm}T=2\pi \sqrt{\frac{3m}{2k}}\)
Check Answer
Option a
Q.No:7 TIFR-2024
Consider a mass \( m \) connected to a network of massless springs shown in the figure below.

The spring constant of spring \( A \) is \( k_A \), and that of spring \( B \) is \( k_B \). The springs are shown in a relaxed position, and the angle \( \theta \) in this position is \( \pi/3 \). The mass is displaced horizontally by a small distance. What is the angular frequency of small oscillations of \( m \)? (Ignore gravity and friction.)
(a) \( \sqrt{\frac{3k_A k_B}{m(2k_B + 3k_A)}} \)
(b) \( \sqrt{\frac{k_A k_B}{m(k_B + k_A)}} \)
(c) \( \sqrt{\frac{2k_A k_B}{m(k_B + 2k_A)}} \)
(d) \( \sqrt{\frac{3 k_A k_B}{m(k_B + \sqrt{3} k_A)}} \)

Q.No.1 Discussion (JEST) :
Pendulum Oscillation with large angle
Q.No.2 Discussion (JEST) :
pendulum in elevator
Q.No.3 Discussion (JEST) :
Option C
Q.No.4 Discussion (JEST) :
Option A
Q.No.5 Discussion (JEST) :
Q.No.6 Discussion (JEST) :
Q.No.7 Discussion (JEST) :
Answer
Q.No.8 Discussion (JEST) :
Q 8
Q.No.9 Discussion (JEST) :
Q9
Q.No.10 Discussion (JEST) :
Option A
Q.No.11 Discussion (JEST) :
11 soln
page 2
solving the matrix for omega
Q.No.12 Discussion (JEST) :
Q.No.13 Discussion (JEST) :
Q.No.14 Discussion (JEST) :
Q.No.1 Discussion (TIFR) :
Q1 TIFR
Q.No.2 Discussion (TIFR) :
Q2 TIFR
Q.No.3 Discussion (TIFR) :
Q.No.4 Discussion (TIFR) :
Q4 TIFR
Q.No.5 Discussion (TIFR) :
Ans
Q.No.6 Discussion (TIFR) :
Q.No.7 Discussion (TIFR) :