CAUTION : Try solving the problem yourself for at least 5–10 minutes before clicking the AI Assistant. In the exam hall, you will be on your own.
Q.No:1 CSIR-Dec-2014
Consider the normalized wavefunction
\[
\phi=a_1 \psi_{11}+a_2 \psi_{10}+a_3 \psi_{1-1}
\]
where \(\psi_{lm}\) is a simultaneous normalized eigenfunction of the angular momentum operators \(L^2\) and \(L_z\), with eigenvalues \(l(l+1)\hbar^2\) and \(m\hbar\) respectively. If \(\phi\) is an eigenfunction of the operator \(L_x\) with eigenvalue \(\hbar\), then
(1)
\item \(a_1=-a_3=\frac{1}{2}, a_2=\frac{1}{\sqrt{2}}\)
(2)
\(a_1=a_3=\frac{1}{2}, a_2=\frac{1}{\sqrt{2}}\)
(3)
\(a_1=a_3=\frac{1}{2}, a_2=-\frac{1}{\sqrt{2}}\)
(4)
\(a_1=a_2=a_3=\frac{1}{\sqrt{3}}\)
Check Answer
Option 2
Q.No:2 CSIR-Dec-2014
Let \(\vec{\mathbf{\sigma}}=(\sigma_1, \sigma_2, \sigma_3)\), where \(\sigma_1, \sigma_2, \sigma_3\) ar the Pauli matrices. If \(\vec{\mathbf{a}}\) and \(\vec{\mathbf{b}}\) are two arbitrary constant vectors in three dimensions, the commutator \([\vec{\mathbf{a}}.\vec{\mathbf{\sigma}}, \vec{\mathbf{b}}.\vec{\mathbf{\sigma}}]\) is equal to (in the following \(I\) is the identity matrix)
(1) \((\vec{\mathbf{a}}.\vec{\mathbf{b}})(\sigma_1+\sigma_2+\sigma_3)\)
(2)
\(2i(\vec{\mathbf{a}}\times \vec{\mathbf{b}}).\vec{\mathbf{\sigma}}\)
(3)
\((\vec{\mathbf{a}}.\vec{\mathbf{b}})I\)
(4)
\(|\vec{\mathbf{a}}| |\vec{\mathbf{b}}|I\)
Check Answer
Option 2
Q.No:3 CSIR-June-2015
The ratio of the energy of the first excited
state \(E_1\), to that of the ground state \(E_o.\) of a particle in a three-dimensional rectangular box of sides L,L and L/2, is
(1)
3:2
(2)
2:1
(3)
4:1
(4)
4:3
Check Answer
Option 1
Q.No:4 CSIR-June-2015
If \(L_{i}\) are the components of the angular momentum operator \(\overrightarrow{L}\), then the arrow operator \(\sum_{i=1,2,3}\left[\left[\vec{L}, L_{i}\right], L_{i}\right]\) equals
(1)
\(\overrightarrow{L}\)
(2)
\(2\overrightarrow{L}\)
(3)
\(3\overrightarrow{L}\)
(4)
\(-\overrightarrow{L}\)
Check Answer
Option 2
Q.No:5 CSIR-Dec-2015
Let \(\psi_{nlm}\) denote the eigenstates of a hydrogen atom in the usual notation. The state
\[
\frac{1}{5}[2\psi_{200}-3\psi_{211}+\sqrt{7}\psi_{210}-\sqrt{5}\psi_{21-1}]
\]
is an eigenstate of
(1)
\(L^2\), but not of the Hamiltonian or \(L_z\)
(2)
the Hamiltonian, but not of \(L^2\) or \(L_z\)
(3)
the Hamiltonian, \(L^2\) and \(L_z\)
(4)
\(L^2\) and \(L_z\), but not of the Hamiltonian
Check Answer
Option 2
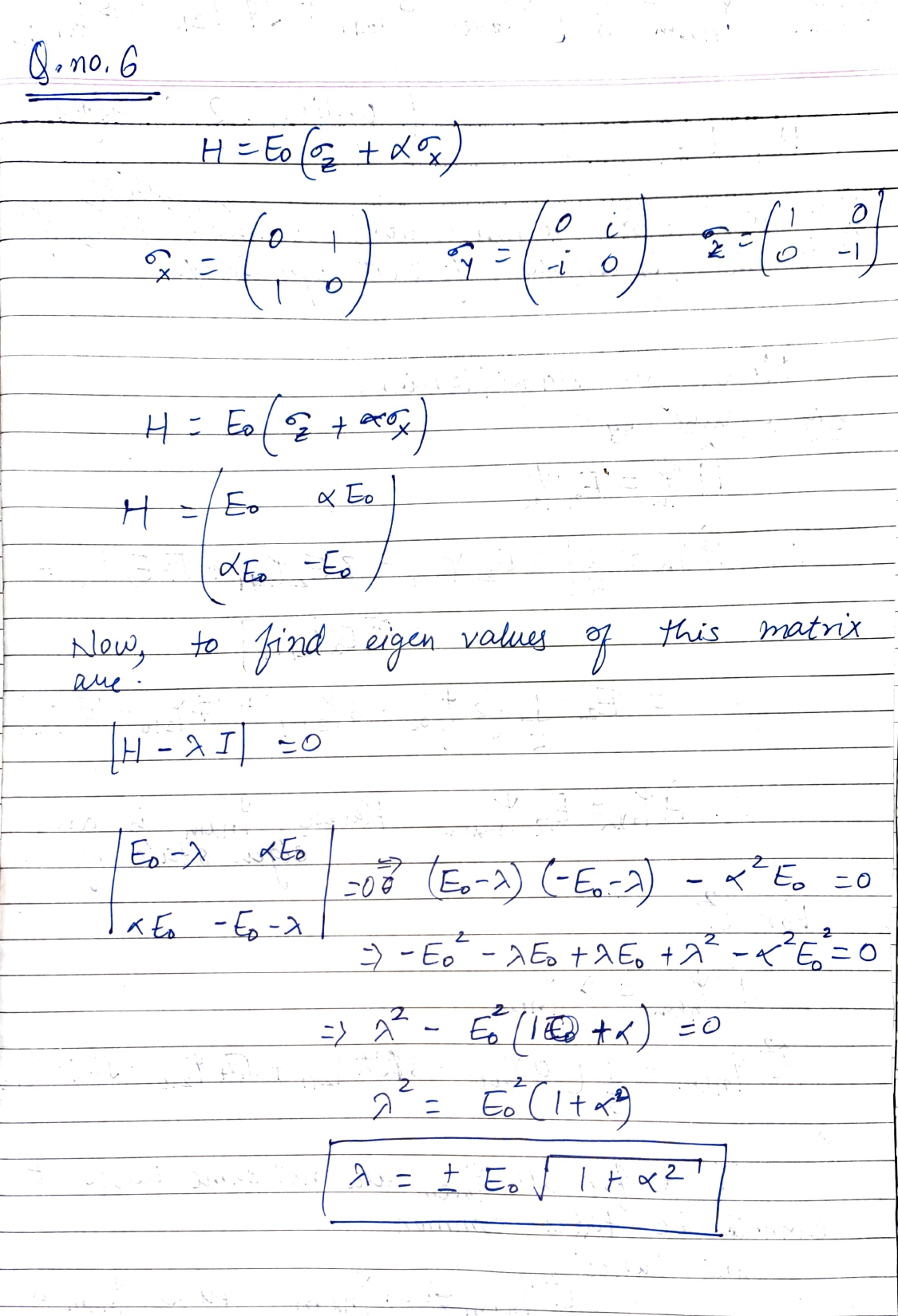
Q.No:6 CSIR-Dec-2015
The Hamiltonian for a spin-1/2 particle at rest is given by \(H=E_0(\sigma_z+\alpha \sigma_x)\), where \(\sigma_x\) and \(\sigma_z\) are Pauli spin matrices and \(E_0\) and \(\alpha\) are constants. The eigenvalues of this Hamiltonian are
(1)
\(\pm E_0\sqrt{1+\alpha^2}\)
(2)
\(\pm E_0\sqrt{1-\alpha^2}\)
(3)
\(E_0\) (doubly degenerate)
(4)
\(E_0\left(1\pm \frac{1}{2}\alpha^2\right)\)
Check Answer
Option 1
Q.No:7 CSIR-Dec-2015
The product of the uncertainties \((\Delta L_x)(\Delta L_y)\) for a particle in the state \(a|1, 1\rangle+b|1, -1\rangle\) (where \(|l, m\rangle\) denotes an eigenstate of \(L^2\) and \(L_z\)) will be a minimum for
(1)
\(a=\pm ib\)
(2)
\(a=0\) and \(b=1\)
(3)
\(a=\frac{\sqrt{3}}{2}\) and \(b=\frac{1}{2}\)
(4)
\(a=\pm b\)
Check Answer
Option 4
Q.No:8 CSIR-June-2016
If \(\hat{L}_x, \hat{L}_y\) and \(\hat{L}_z\) are the components of the angular momentum operator in three dimensions, the commutator \([\hat{L}_x, \hat{L}_x \hat{L}_y \hat{L}_z]\) may be simplified to
(1)
\(i\hbar L_x(\hat{L}_z^2-\hat{L}_y^2)\)
(2)
\(i\hbar \hat{L}_z \hat{L}_y \hat{L}_x\)
(3)
\(i\hbar L_x(2\hat{L}_z^2-\hat{L}_y^2)\)
(4)
\(i\hbar \hat{L}_z \hat{L}_y \hat{L}_x\)
Check Answer
Option 1
Q.No:9 CSIR-June-2016
Suppose that the Coulomb potential of the hydrogen atom is changed by adding an inverse-square term such that the total potential is \(V(\vec{r})=-\frac{Ze^2}{r}+\frac{g}{r^2}\), where \(g\) is a constant. The energy eigenvalues \(E_{nlm}\) in the modified potential
(1)
depend on \(n\) and \(l\), but not on \(m\)
(2)
depend on \(n\) but not on \(l\) and \(m\)
(3)
depend on \(n\) and \(m\), but not on \(l\)
(4)
depend explicitly on all three quantum numbers \(n, l\) and \(m\)
Check Answer
Option 1
Q.No:10 CSIR-June-2017
Let \(\sigma_x, \sigma_y, \sigma_z\) be the Pauli matrices and \(x' \sigma_x+y' \sigma_y+z' \sigma_z=\exp{\left(\frac{i\theta \sigma_z}{2}\right)}\times [x\sigma_x+y\sigma_y+z\sigma_z]\exp{\left(-\frac{i\theta \sigma_z}{2}\right)}\). Then the coordinates are related as follows
(1)
\(\begin{pmatrix}x'\\y'\\z'\end{pmatrix}=\begin{pmatrix}\cos{\theta}&-\sin{\theta}&0\\\sin{\theta}&\cos{\theta}&0\\0&0&1\end{pmatrix}\begin{pmatrix}x\\y\\z\end{pmatrix}\)
(2)
\(\begin{pmatrix}x'\\y'\\z'\end{pmatrix}=\begin{pmatrix}\cos{\theta}&\sin{\theta}&0\\-\sin{\theta}&\cos{\theta}&0\\0&0&1\end{pmatrix}\begin{pmatrix}x\\y\\z\end{pmatrix}\)
(3)
\(\begin{pmatrix}x'\\y'\\z'\end{pmatrix}=\begin{pmatrix}\cos{\frac{\theta}{2}}&\sin{\frac{\theta}{2}}&0\\-\sin{\frac{\theta}{2}}&\cos{\frac{\theta}{2}}&0\\0&0&1\end{pmatrix}\begin{pmatrix}x\\y\\z\end{pmatrix}\)
(4)
\(\begin{pmatrix}x'\\y'\\z'\end{pmatrix}=\begin{pmatrix}\cos{\frac{\theta}{2}}&-\sin{\frac{\theta}{2}}&0\\\sin{\frac{\theta}{2}}&\cos{\frac{\theta}{2}}&0\\0&0&1\end{pmatrix}\begin{pmatrix}x\\y\\z\end{pmatrix}\)
Check Answer
Option 2
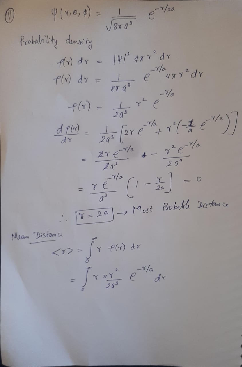
Q.No:11 CSIR-Dec-2017
The normalized wavefunction of a particle in three dimensions is given by \(\psi(r, \theta, \varphi)=\frac{1}{\sqrt{8\pi a^3}}e^{-r/2a}\), where \(a>0\) is a constant. The ratio of the most probable distance from the origin to the mean distance from the origin, is. [You may use \(\int_0^{\infty} dx x^n e^{-x}=n!\).]
(1)
\(1/3\)
(2)
\(1/2\)
(3)
\(3/2\)
(4)
\(2/3\)
Check Answer
Option 4
Q.No:12 CSIR-June-2018
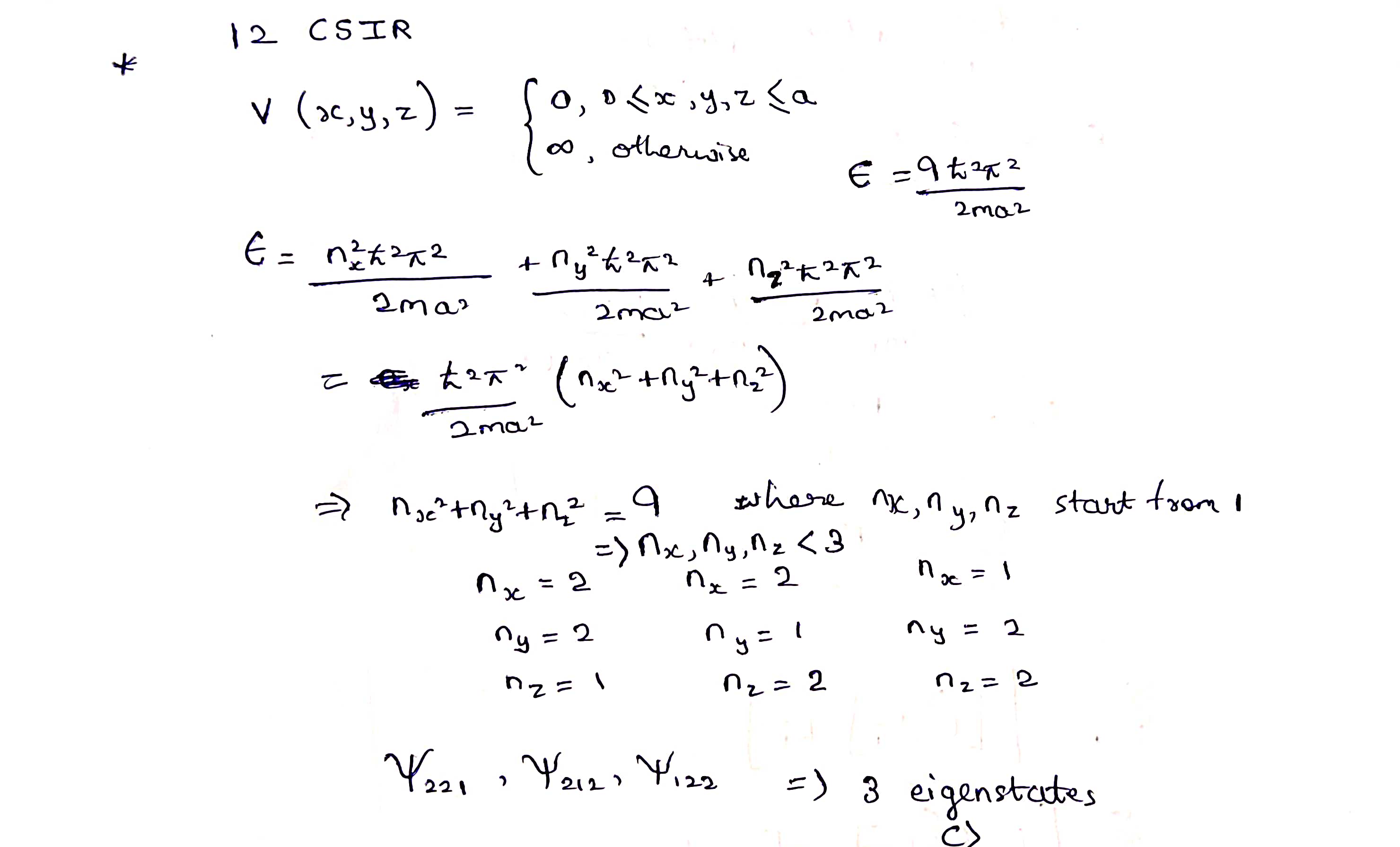
A particle of mass \(m\) is confined in a three-dimensional box by the potential
\[
V(x, y, z)=
\left\{
\begin{array}{ll}
0, & 0\leq x, y, z\leq a, \\
\infty & \text{otherwise}.
\end{array}
\right.
\]
The number of eigenstates of Hamiltonian with energy \(\frac{9\hbar^2 \pi^2}{2ma^2}\) is
(1)
\(1\)
(2)
\(6\)
(3)
\(3\)
(4)
\(4\)
Check Answer
Option 3
Q.No:13 CSIR-June-2018
The Hamiltonian of a spin-\(\frac{1}{2}\) particle in a magnetic field \(\vec{B}\) is given by \(H=-\mu \vec{B}.\vec{\sigma}\), where \(\mu\) is a real constant and \(\vec{\sigma}=(\sigma_x, \sigma_y, \sigma_z)\) are the Pauli spin matrices. If \(\vec{B}=(B_0, B_0, 0)\) and the spin state at time \(t=0\) is an eigenstate of \(\sigma_x\), then of the expectation values \(\langle \sigma_x\rangle, \langle \sigma_y\rangle\) and \(\langle \sigma_z\rangle\)
(1)
only \(\langle \sigma_x\rangle\) changes with time
(2)
only \(\langle \sigma_y\rangle\) changes with time
(3)
only \(\langle \sigma_z\rangle\) changes with time
(4)
all three change with time
Check Answer
Option 4
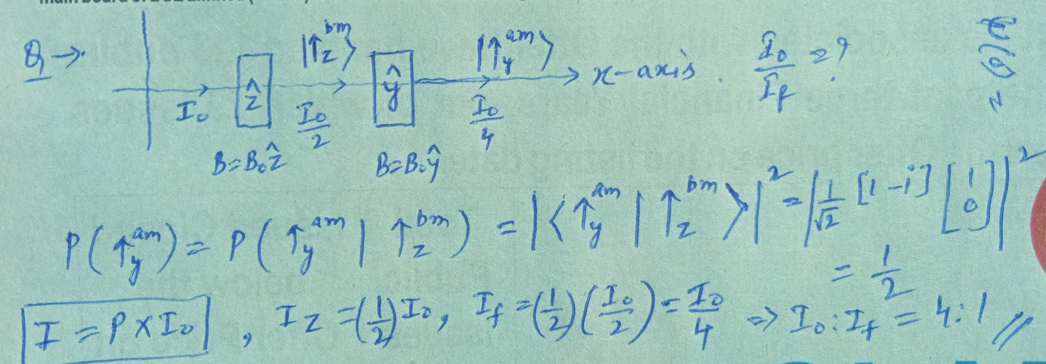
Q.No:14 CSIR-June-2018
Two Stern-Gerlach apparatus \(S_1\) and \(S_2\) are kept in a line (\(x\)-axis). The directions of their magnetic fields are along the positive \(z\)- and \(y\)-axes, respectively. Each apparatus only transmits particles with spins aligned in the direction of its magnetic field. If an initially unpolarized beam of spin-\(\frac{1}{2}\) particles passes through this configuration, the ratio of intensities \(I_0:I_f\) of the initial and final beams, is

(1)
\(16:1\)
(2)
\(2:1\)
(3)
\(4:1\)
(4)
\(1:0\)
Check Answer
Option 3
Q.No:15 CSIR-Dec-2018
The ground state energy of an anisotropic harmonic oscillator described by the potential \(V(x, y, z)=\frac{1}{2}m\omega^2 x^2+2m\omega^2 y^2+8m\omega^2 z^2\) (in units of \(\hbar \omega\)) is
(1)
\(5/2\)
(2)
\(7/2\)
(3)
\(3/2\)
(4)
\(1/2\)
Check Answer
Option 2
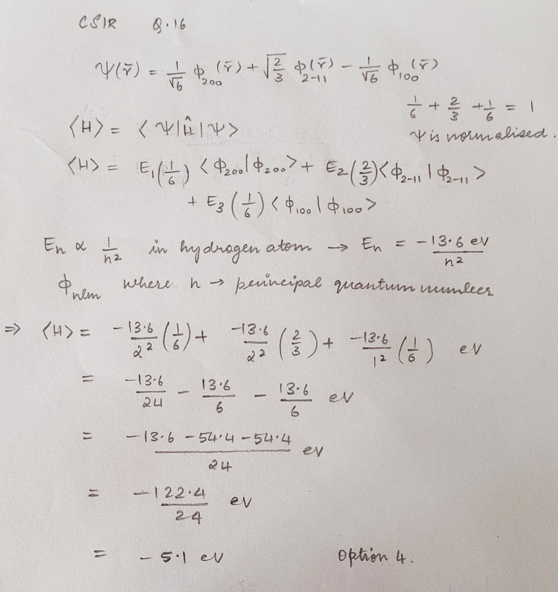
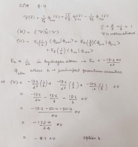
Q.No:16 CSIR-Dec-2018
Let the wavefunction of the electron in a hydrogen atom be
\[
\psi(\vec{r})=\frac{1}{\sqrt{6}}\phi_{200}(\vec{r})+\sqrt{\frac{2}{3}}\phi_{21-1}(\vec{r})-\frac{1}{\sqrt{6}}\phi_{100}(\vec{r})
\]
where \(\phi_{nlm}\) are the eigenstates of the Hamiltonian in the standard notation. The expectation value of the energy in this state is
(1)
\(-10.8 eV\)
(2)
\(-6.2 eV\)
(3)
\(-9.5 eV\)
(4)
\(-5.1 eV\)
Check Answer
Option 4
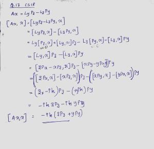
Q.No:17 CSIR-Dec-2018
Consider the operator \(A_x=L_y p_z-L_z p_y\), where \(L_i\) and \(p_i\) denote, respectively, the components of the angular momentum and momentum operators. The commutator \([A_x, x]\), where \(x\) is the \(x\)-component of the position operator, is
(1)
\(-i\hbar(zp_z+yp_y)\)
(2)
\(-i\hbar(zp_z-yp_y)\)
(3)
\(i\hbar(zp_z+yp_y)\)
(4)
\(i\hbar(zp_z-yp_y)\)
Check Answer
Option 1
Q.No:18 CSIR-Dec-2018
If the position of the electron in the ground state of a Hydrogen atom is measured, the probability that it will be found at a distance \(r\geq a_0\) (\(a_0\) being Bohr radius) is nearest to
(1)
\(0.91\)
(2)
\(0.66\)
(3)
\(0.32\)
(4)
\(0.13\)
Check Answer
Option 2
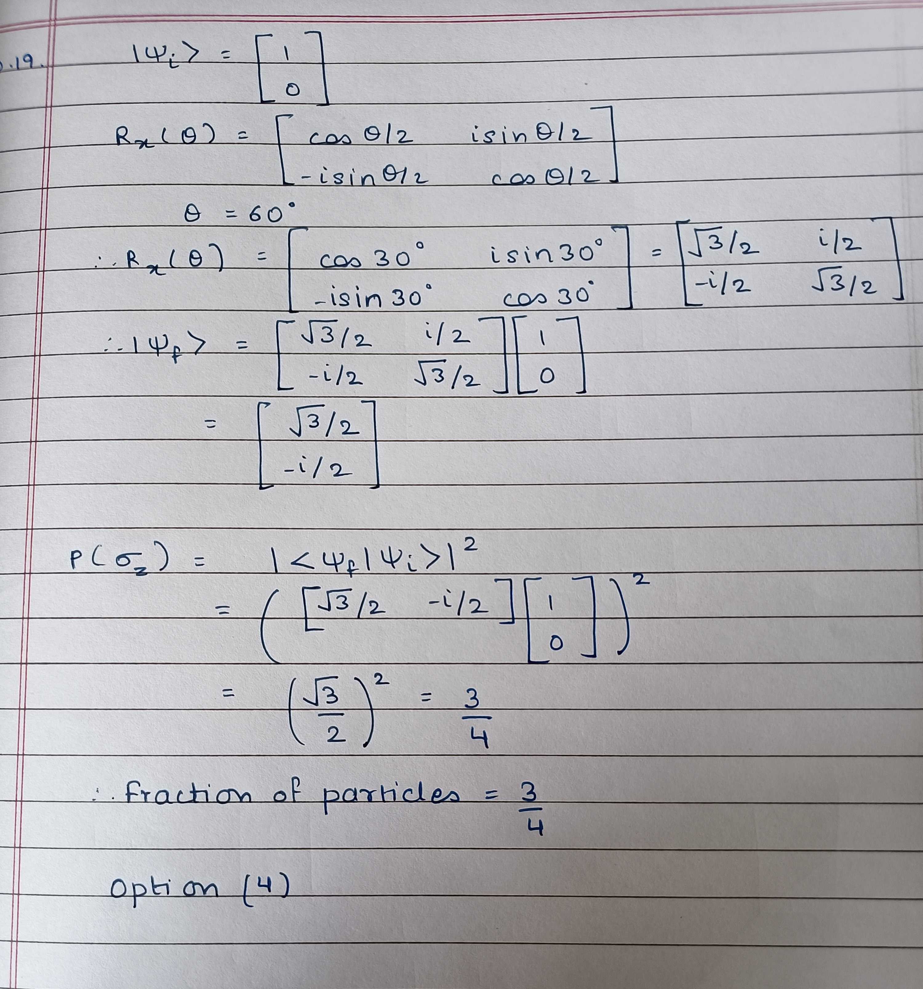
Q.No:19 CSIR-Dec-2018
A system of spin-\(\frac{1}{2}\) particles is prepared to be in the eigenstate of \(\sigma_z\) with eigenvalue \(+1\). The system is rotated by an angle of \(60^{\circ}\) about the \(x\)-axis. After the rotation, the fraction of the particles that will be measured to be in the eigenstate of \(\sigma_z\) with eigenvalue \(+1\) is
(1)
\(1/3\)
(2)
\(2/3\)
(3)
\(1/4\)
(4)
\(3/4\)
Check Answer
Option 4
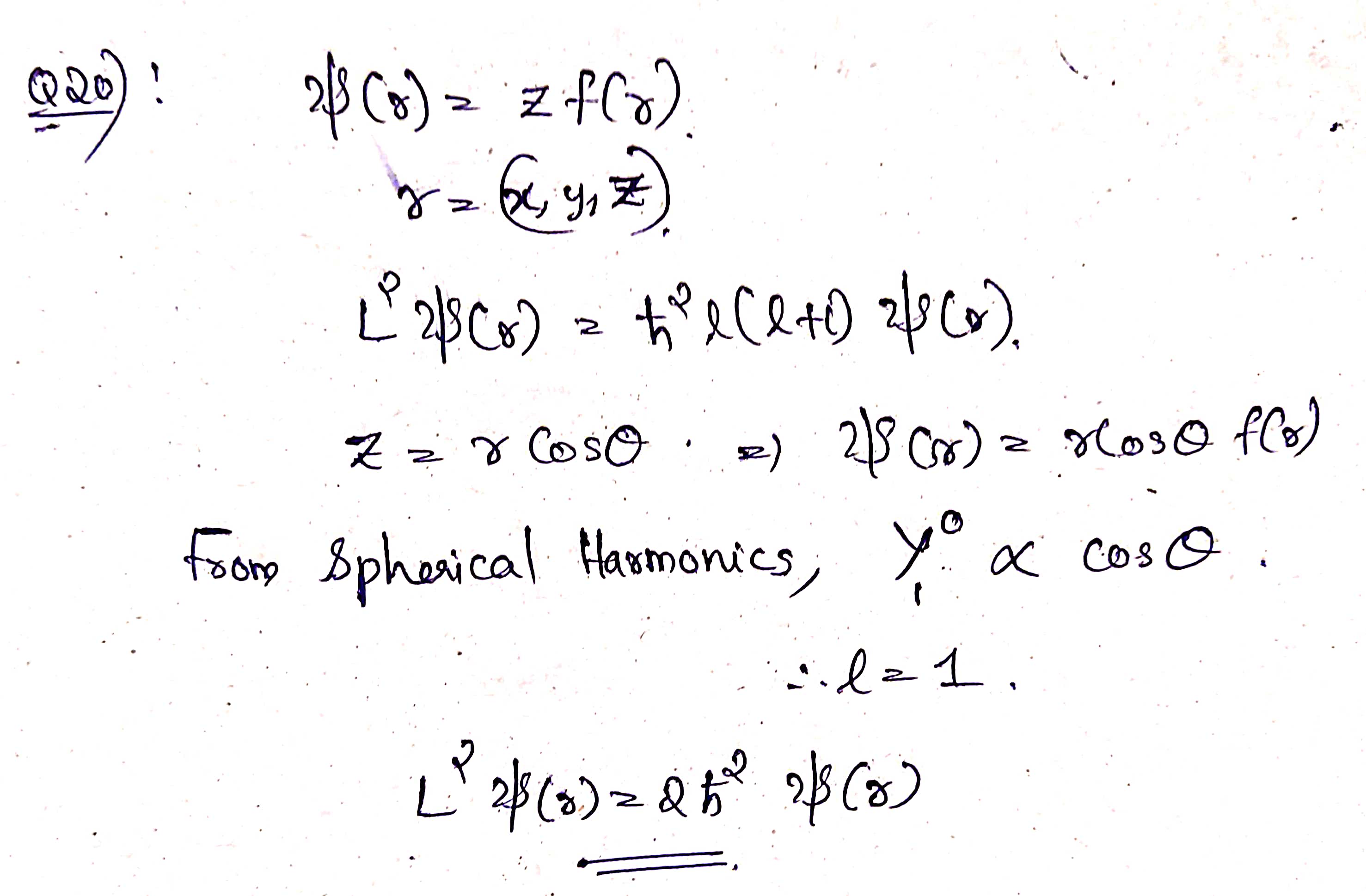
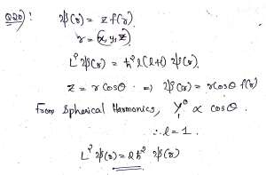
Q.No:20 CSIR-June-2019
A particle moving in a central potential is described by a wavefunction \(\psi(\mathbf{r})=zf(r)\) where \(\mathbf{r}=(x, y, z)\) is the position vector of the particle and \(f(r)\) is a function of \(r=|\mathbf{r}|\). If \(\mathbf{L}\) is the total angular momentum of the particle, the value of \(L^2\) must be
(1)
\(2\hbar^2\)
(2)
\(\hbar^2\)
(3)
\(4\hbar^2\)
(4)
\(\frac{3}{4}\hbar^2\)
Check Answer
Option 1
Q.No:21 CSIR-Dec-2019
The normalized wavefunction of a particle in three dimensions is given by \(\psi(x, y, z)=Nz\exp{[-a(x^2+y^2+z^2)]}\) where \(a\) is a positive constant and \(N\) is a normalization constant. If \(\mathbf{L}\) is the angular momentum operator, the eigenvalues of \(\mathbf{L}^2\) and \(L_z\), respectively, are
(1)
\(2\hbar^2\) and \(\hbar\)
(2)
\(\hbar^2\) and \(0\)
(3)
\(2\hbar^2\) and \(0\)
(4)
\(\frac{3}{4}\hbar^2\) and \(\frac{1}{2}\hbar\)
Check Answer
Option 3
Q.No:22 CSIR-Dec-2019
The wavefunction of a particle of mass \(m\), constrained to move on a circle of unit radius centered at the origin in the \(xy\)-plane, is described by \(\psi(\phi)=A\cos^2{\phi}\), where \(\phi\) is the aziamuthal angle. All the possible outcomes of measurements of the \(z\)-component of the angular momentum \(L_z\) in this state, in units of \(\hbar\), are
(1)
\(\pm 1\) and \(0\)
(2)
\(\pm 1\)
(3)
\(\pm 2\)
(4)
\(\pm 2\) and \(0\)
Check Answer
Option 4
Q.No:23 Assam CSIR-Dec-2019
The Hamiltonian of a spin \(\frac{1}{2}\) particle, precessing in the presence of a magnetic field \(B\) along the positive \(x\)-direction, is \(H=-\mu_B BS_x\), where \(\mu_B\) is the Bohr magneton. At time \(t=0\), the particle is in an eigenstate of \(S_z\) with eigenvalue \(\hbar/2\). The earliest time when it will be in the eigenstate of \(S_y\) with eigenvalue \(\hbar/2\), is
(1)
\(\pi/(2\mu_B B)\)
(2)
\(\pi/(4\mu_B B)\)
(3)
\(3\pi/(2\mu_B B)\)
(4)
\(2\pi/(3\mu_B B)\)
Check Answer
Option 1
Q.No:24 CSIR-June-2020
An angular momentum eigenstate \(|j, 0\rangle\) is rotated by an infinitesimally small angle \(\varepsilon\) about the positive \(y\)-axis in the counter clockwise direction. The rotated state, to order \(\varepsilon\) (upto a normalisation constant), is
(a)
\(|j, 0\rangle-\frac{\varepsilon}{2}\sqrt{j(j+1)}(|j, 1\rangle+|j, -1\rangle)\)
(b)
\(|j, 0\rangle-\frac{\varepsilon}{2}\sqrt{j(j+1)}(|j, 1\rangle-|j, -1\rangle)\)
(c)
\(|j, 0\rangle-\frac{\varepsilon}{2}\sqrt{j(j-1)}(|j, 1\rangle-|j, -1\rangle)\)
(d)
\(|j, 0\rangle-\frac{\varepsilon}{2}\sqrt{j(j+1)}|j, 1\rangle-\frac{\varepsilon}{2}\sqrt{j(j-1)}|j, -1\rangle\)
Check Answer
Option b
Q.No:25 CSIR-June-2020
The state of an electron in a hydrogen atom is
\[
|\psi\rangle=\frac{1}{\sqrt{6}}|1, 0, 0\rangle+\frac{1}{\sqrt{3}}|2, 1, 0\rangle+\frac{1}{\sqrt{2}}|3, 1, -1\rangle
\]
where \(|n, l, m\rangle\) denotes common eigenstates of \(\hat{H}, \hat{L^2}\) and \(\hat{L_z}\) operators in the standard notation. In a measurement of \(\hat{L}_z\) for the electron in this state, the result is recorded to be \(0\). Subsequently a measurement of energy is performed. The probability that the result is \(E_2\) (the energy of the \(n=2\) state) is
(a)
\(1\)
(b)
\(1/2\)
(c)
\(2/3\)
(d)
\(1/3\)
Check Answer
Option c
Q.No:26 CSIR-Feb-2022
Which of the following two physical quantities cannot be measured simultaneously with
arbitrary accuracy for the motion of a quantum particle in three dimensions?
(1)
square of the radial position and z -component of angular momentum (\(r^2\) and \(L_z\))
(2)
x - components of linear and angular momenta (\(p_x\) and \(L_x\) )
(3)
y -component of position and z -component of angular momentum (\(y\) and \(L^2\) )
(4)
squares of the magnitudes of the linear and angular momenta (\(p^2\) and \(L^2\) )
Check Answer
Option 3
Q.No:27 CSIR-Sep-2022
Consider the Hamiltonian \(H=AI+B\sigma_x+C\sigma_y\), where \(A,B\) and \(C\) are positive constants, \(I\) is the \(2\times2\) matrix and \(\sigma_x\) and \(\sigma_y\) are Pouli matrices. If the normalized eigenvector corresponding to its largest energy eigenvelue is \(\frac{1}{\sqrt{2}}\begin{pmatrix} 1\\ y \end{pmatrix}\), then \(y\) is
(1)
\(\frac{B+iC}{\sqrt{B^2+C^2}}\)
(2)
\(\frac{A-iB}{\sqrt{A^2+B^2}}\)
(3)
\(\frac{A-iC}{\sqrt{A^2+C^2}}\)
(4)
\(\frac{B-iC}{\sqrt{B^2+C^2}}\)
Check Answer
Option 1
Q.No:28 CSIR-Sep-2022
The momentum space representation of the Schrodinger equation of a particle in a potential \(V(\vec{r})\) is
\[\left( |\textbf{p}|^2+\beta(\nabla^2 _p)^2 \right) \psi(p,t)=i\hbar \frac{\partial}{\partial t}\psi(p,t)\]
where \((\nabla_p)_i=\frac{\partial}{\partial p_i}\), and \(\beta\) is a constant. The potential is (in the following \(V_0\) and \(a\) are constants.)
(1)
\(V_0 e^{-r^2/a^2}\)
(2)
\(V_0 e^{-r^4/a^4}\)
(3)
\(V_0 (\frac{r}{a})^2\)
(4)
\(V_0 (\frac{r}{a})^4\)
Check Answer
Option 4
Q.No:29 CSIR-Sep-2022
The Hamiltonian of a spin-1/2 particle in a magnetic field \(B=B_0 \hat{k}\) is given by \(H=\lambda S \cdot B\), where S is its spin (in units of \(\hbar\)) and \(\lambda \) is constant. If the average spin density is \( \langle S \rangle\) for an ensemble of such non-interacting particles, then \(\frac{d}{dt} \langle S_x \rangle \) is
(1)
\(\frac{\lambda}{\hbar} B_0 \langle S_x \rangle \)
(2)
\(\frac{\lambda}{\hbar} B_0 \langle S_y \rangle \)
(3)
\(-\frac{\lambda}{\hbar} B_0 \langle S_x \rangle \)
(4)
\(-\frac{\lambda}{\hbar} B_0 \langle S_y \rangle \)
Check Answer
Option 4
Q.No: 30 CSIR-Dec-2023
The Schrödinger wave function for a stationary state of an atom in spherical polar coordinates \((r, \theta, \phi)\) is
\[
\psi = A f(r) \sin \theta \cos \theta \, e^{i\phi}
\]
where \( A \) is the normalization constant. The eigenvalue of \(\hat{L}_z\) for this state is
1) \( 2\hbar \)
2) \( \hbar \)
3) \( -2\hbar \)
4) \( -\hbar \)
Check Answer
Option 2
Q.No: 31 CSIR-Dec-2023
The Hamiltonian for two particles with angular momentum quantum numbers \( l_1 = l_2 = 1 \), is
\[
\hat{H} = \frac{\epsilon}{\hbar^2} \left[ (\hat{L}_1 + \hat{L}_2) \cdot \hat{L}_2 - (\hat{L}_{1z} + \hat{L}_{2z})^2 \right].
\]
If the operator for the total angular momentum is given by \( \hat{L} = \hat{L}_1 + \hat{L}_2 \), then the possible energy eigenvalues for states with \( l = 2 \), (where the eigenvalues of \( \hat{L}^2 \) are \( l(l + 1)\hbar^2 \)) are
1) \( 3\epsilon, 2\epsilon, -\epsilon \)
2) \( 6\epsilon, 5\epsilon, 2\epsilon \)
3) \( 3\epsilon, 2\epsilon, \epsilon \)
4) \( -3\epsilon, -2\epsilon, \epsilon \)
Check Answer
Option 1
Q.No: 32 CSIR-Dec-2023
The normalized wave function of an electron is
\[
\psi(\vec{r}) = R(r) \left[ \sqrt{\frac{3}{8}} Y_1^0(\theta, \phi) \chi_- + \sqrt{\frac{5}{8}} Y_1^1(\theta, \phi) \chi_+ \right],
\]
where \( Y_l^m \) are the normalized spherical harmonics and \( \chi_{\pm} \) denote the wavefunction for the two spin states with eigenvalues \(\pm\frac{1}{2}\hbar\). The expectation value of the z component of the total angular momentum in the above state is
1) \( -\frac{3}{4}\hbar \)
2) \( -\frac{9}{8}\hbar \)
3) \( \frac{3}{4}\hbar \)
4) \( \frac{9}{8}\hbar \)
Check Answer
Option 3
Q.No: 33 CSIR-Dec-2023
A quantum system is described by the Hamiltonian
\[
H = -J\sigma_z + \lambda(t)\sigma_x,
\]
where \(\sigma_i\) (\(i = x, y, z\)) are Pauli matrices, \(J\) and \(\lambda\) are positive constants (\(J \gg \lambda\)) and
\[
\lambda(t) =
\begin{cases}
0 & \text{for } t < 0 \\
\lambda & \text{for } 0 < t T
\end{cases}
\]
At \( t < 0 \), the system is in the ground state. The probability of finding the system in the excited state at \( t \gg T \), in the leading order in \(\lambda\) is
1) \( \frac{\lambda^2}{8J^2} \sin^2 \frac{JT}{\hbar} \)
2) \( \frac{\lambda^2}{J^2} \sin^2 \frac{JT}{\hbar} \)
3) \( \frac{\lambda^2}{4J^2} \sin^2 \frac{JT}{\hbar} \)
4) \( \frac{\lambda^2}{16J^2} \sin^2 \frac{JT}{\hbar} \)
Check Answer
Option 2
Q.No: 34 CSIR-June-2023
The Hamiltonian of a two-dimensional quantum harmonic oscillator is \(H=\frac{p_x^2}{2m}+\frac{p_y^2}{2m}+\frac{1}{2}m\omega^2x^2 + 2m\omega^2 y^2\) where \(m\) and \(\omega\) are positive constants. The degeneracy of the energy level \(\frac{27}{2}\hbar\omega\) is
1) 14
2) 13
3) 8
4) 7
Check Answer
Option 4
Q.No: 35 CSIR-JUNE--2023
The radial wavefunction of hydrogen atom with the principal quantum number \(n=2\) and the orbital quantum number \(l=0\) is
\(R_{20}=N(1-\frac{r}{2a})e^{-\frac{r}{2a}}\), where \(N\) is the normalization constant. The best schematic representation of the probability density \(P(r)\) for the electron to be between \(r\) and \(r+dr\) is




Check Answer
Option 1
Q.No: 36 CSIR-JUNE--2023
Electrons polarized along the \(x\)-direction are in a magnetic field \(B_1\hat{\textbf{i}}+B_2(\hat{\textbf{j}}\cos\hspace{1mm}\omega t+\hat{\textbf{k}}\sin\hspace{1mm}\omega t)\), where \(B_1 >>B_2\) and \(\omega\) are positive constants. The value of \(\hbar\omega\) for which the polarization-flip process is a resonant one, is
1) \(2\mu_B|B_2|\)
2) \(\mu_B|B_1|\)
3) \(\mu_B|B_2|\)
4) \(2\mu_B|B_1|\)
Check Answer
Option 4
Q.No: 37 CSIR-JUNE--2023
The value of \(\langle L_x^2\rangle\) in the state \(|\phi\rangle\) for which \(L^2|\phi\rangle=6\hbar^2|\phi\rangle\) and \(L_z|\phi\rangle=2\hbar|\phi\rangle\), is
1) 0
2) \(4\hbar^{2}\)
3) \(2\hbar^{2}\)
4) \(\hbar^{2}\)
Check Answer
Option 4
Q.No: 38 CSIR-JUNE--2024
If \(\vec{L}\) is the orbital angular momentum operator and \(\vec{\sigma}\) are the Pauli matrices, which of the following operators commutes with \(\vec{\sigma} \cdot \vec{L}\)?
1) \(\vec{L} - \frac{\hbar}{2} \vec{\sigma}\)
2) \(\vec{L} + \frac{\hbar}{2} \vec{\sigma}\)
3) \(\vec{L} + \hbar \vec{\sigma}\)
4) \(\vec{L} - \hbar \vec{\sigma}\)
Check Answer
Option 2
Q.No: 39 CSIR-JUNE--2024
A hydrogen atom is in the state
\[
|\psi\rangle = \sqrt{\frac{8}{21}}|\psi_{200}\rangle + \sqrt{\frac{3}{7}}|\psi_{210}\rangle + \sqrt{\frac{4}{21}}|\psi_{311}\rangle,
\]
where \( |\psi_{nlm}\rangle \) are normalized eigenstates. If \( \hat{L}^2 \) is measured in this state, the probability of obtaining the value \( 2\hbar^2 \) is:
1) \( \frac{13}{21} \)
2) \( \frac{4}{21} \)
3) \( \frac{17}{21} \)
4) \( \frac{3}{7} \)
Check Answer
Option 1
Q.No: 40 CSIR-JUNE--2024
A quantum mechanical system is in the angular momentum state \(|l = 4, l_z = 4|\). The uncertainty in \(L_x\) is
1) \(2\hbar\)
2) 0
3) \(\hbar\sqrt{2}\)
4) \(\hbar\)
Check Answer
Option 3
Q.No: 41 CSIR- Dec-2024
An electron is in the spin state
\[
|\psi\rangle = \frac{1}{5}
\begin{pmatrix}
3i \\
4
\end{pmatrix}
\]
in the \(\hat{S}_{z}\) basis. A measurement of \(\hat{S}_{x}\) is made on this state. The probabilities of getting \(\hbar/2\) and \(-\hbar/2\) are
1) \(\frac{1}{3},\ \frac{2}{3}\)
2) \(\frac{1}{4},\ \frac{3}{4}\)
3) \(\frac{1}{2},\ \frac{1}{2}\)
4) \(\frac{3}{7},\ \frac{4}{7}\)
Check Answer
Option 3
Q.No: 42 CSIR- Dec-2024
Two non–interacting identical spin–\(\frac{1}{2}\) particles, each of mass \(m\), are placed in a two–dimensional infinite square well of side \(L\). The single–particle spatial wavefunction is given by
\[
\varphi_{n_{x}, n_{y}}(x, y)
= \frac{2}{L}
\sin\!\left(\frac{n_{x}\pi x}{L}\right)
\sin\!\left(\frac{n_{y}\pi y}{L}\right)
\]
where \(n_{x}\) and \(n_{y}\) are positive integers. If the particles are in a total spin state
\(|j = 1, m = 0\rangle\), the lowest possible energy eigenvalue is
1) \(\frac{5\hbar^{2}\pi^{2}}{2mL^{2}}\)
2) \(\frac{\hbar^{2}\pi^{2}}{mL^{2}}\)
3) \(\frac{2\hbar^{2}\pi^{2}}{mL^{2}}\)
4) \(\frac{7\hbar^{2}\pi^{2}}{2mL^{2}}\)
Check Answer
Option 4
Q.No: 43 CSIR- Dec-2024
A spherical cavity of radius \(r_{0}\) has an impenetrable wall. A quantum particle of mass \(m\) inside the cavity is in its ground state. The pressure exerted on the cavity wall is
1) \(\frac{\pi \hbar^{2}}{4 m r_{0}^{5}}\)
2) \(\frac{\pi \hbar^{2}}{m r_{0}^{5}}\)
3) \(\frac{\pi^{2} \hbar^{2}}{2 m r_{0}^{5}}\)
4) \(\frac{\pi^{2} \hbar^{2}}{4 m r_{0}^{5}}\)
Check Answer
Option 1
Q.No: 44 CSIR- Dec-2024
For a system of two electrons, define an operator
\[
\hat{A} = \frac{3}{a^{2}}\,(\hat{S}_{1} \cdot \vec{a})\,(\hat{S}_{2} \cdot \vec{a}) - \hat{S}_{1} \cdot \hat{S}_{2}
\]
where \(\vec{a}\) is an arbitrary vector, and \(\hat{S}_{1}\) and \(\hat{S}_{2}\) are spin operators. The eigenvalues of \(\hat{A}\) (in units of \(\hbar^{2}\)) are
1) \(-1,\ 1,\ \frac{3}{2},\ \frac{3}{2}\)
2) \(-1,\ -\frac{1}{2},\ -\frac{1}{2},\ 0\)
3) \(\frac{1}{2},\ 1,\ \frac{3}{2},\ \frac{3}{2}\)
4) \(0,\ \frac{1}{2},\ \frac{1}{2},\ -1\)
Check Answer
Option 4
Q.No: 45 CSIR- June-2025
A spin–\(\frac{1}{2}\) system is prepared in the initial state
\[
|\varphi\rangle = \frac{\sqrt{3}}{2}\,|+\rangle + \frac{1}{2}\,|-\rangle
\]
where \(|+\rangle\) and \(|-\rangle\) are eigenstates of \(\hat{S}_{z}\) with eigenvalues
\(+\hbar/2\) and \(-\hbar/2\) respectively. A measurement of \(\hat{S}_{z}\) is followed by
a measurement of \(\hat{S}_{x}\) on the system. What is the probability that the
measurement of \(\hat{S}_{x}\) yields a value \(+\hbar/2\)?
1) \(\frac{1}{2}\)
2) \(\frac{2 + \sqrt{3}}{4}\)
3) \(\frac{2 - \sqrt{3}}{4}\)
4) \(\frac{3}{8}\)

Q.No.1 Discussion :
Q1
Q.No.2 Discussion :
Q2
Q.No.3 Discussion :
Q 3
Q.No.3 CSIR June -2015
Option(1)
Required ratio is 3:2
Q.No.4 Discussion :
pic 1
pic 2
Q.No.5 Discussion :
q 5 solution
5
Q.No.6 Discussion :
q 6 solution
ans
Q.No.7 Discussion :
Solution
Q.No.8 Discussion :
8
Q.No.9 Discussion :
Q.No.10 Discussion :
10
Q no 10
Q.No.11 Discussion :
Answer
Answer part 2
Q.No.12 Discussion :
Answer: C
Q.No.13 Discussion :
Answer D
Q.No.14 Discussion :
Solution
Q.No.15 Discussion :
Q.No.16 Discussion :
Answer
Q.No.17 Discussion :
Q17
Q.No.18 Discussion :
Q.No.19 Discussion :
Q 19
Q.No.20 Discussion :
Answer: A
Q.No.21 Discussion :
21
Q.No.22 Discussion :
22 no. solution
Q.No.23 Discussion :
Q.No.24 Discussion :
Q.No.25 Discussion :
Q.No.26 Discussion :
Q.No.27 Discussion :
Q.No.28 Discussion :
Q.No.29 Discussion :
Q.No.30 Discussion :
Q.No.31 Discussion :
Q.No.32 Discussion :
Q.No.33 Discussion :
Q.No.34 Discussion :
Q.No.35 Discussion :
Q.No.36 Discussion :
Q.No.37 Discussion :
Q.No.38 Discussion :
Q.No.39 Discussion :
Q.No.40 Discussion :
Q.No.41 Discussion :