Q.No: 0 JEST-2012
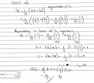
Consider a spin-\(1/2\) particle in the presence of a homogeneous magnetic field of magnitude \(B\) along \(z\)-axis which is prepared initially in a state \(|\Psi\rangle=\frac{1}{\sqrt{2}}(|\uparrow\rangle+|\downarrow\rangle)\) at time \(t=0\). At what time \(t\) will the particle be in the state \(−|\Psi\rangle\) (\(\mu_B\) is Bohr magneton)?
(a) \(t=\frac{\pi \hbar}{\mu_B B}\)
(b) \(t=\frac{2\pi \hbar}{\mu_B B}\)
(c) \(t=\frac{\pi \hbar}{2\mu_B B}\)
(d) Never
Check Answer
Option b
Q.No:1 JEST-2012
Consider a particle of mass \(m\) moving inside a two-dimensional square box whose sides are described by the equations \(x=0, x=L, y=0, y=L\). What is the lowest eigenvalue of an eigenstate which changes sign under the exchange of \(x\) and \(y\)?
(a) \(\hbar^2/(mL^2)\)
(b) \(3\hbar^2/(2mL^2)\)
(c)
\(5\hbar^2/(2mL^2)\)
(d)
\(7\hbar^2/(2mL^2)\)
Check Answer
Option c
Q.No:2 JEST-2012
Define \(\sigma_x=(f^{\dagger}+f)\), and \(\sigma_y=-i(f^{\dagger}-f)\), where the \(\sigma\)'s are Pauli spin matrices and \(f, f^{\dagger}\) obey anticommutation relations \(\{f, f\}=0, \{f, f^{\dagger}\}=1\). Then \(\sigma_z\) is given by
(a)
\(f^{\dagger} f-1\)
(b)
\(2f^{\dagger} f-1\)
(c)
\(2f^{\dagger} f+1\)
(d)
\(f^{\dagger} f\)
Check Answer
Option b
Q.No:3 JEST-2013
If \(J_x, J_y, J_z\) are angular momentum operators, the eigenvalues of the operator \((J_x+J_y)/\hbar\) are
(a)
real and discrete with rational spacing
(b)
real and discrete with irrational spacing
(c)
real and continuous
(d)
not all real
Check Answer
Option b
Q.No:4 JEST-2013
Consider the state \(\begin{pmatrix}1/2\\1/2\\1/\sqrt{2}\end{pmatrix}\) corresponding to the angular momentum \(l=1\) in the \(L_z\) basis of states with \(m=+1, 0, -1\). If \(L_z^2\) is measured in this state yielding a result \(1\), what is the state after the measurement?
(a)
\(\begin{pmatrix}1\\0\\0\end{pmatrix}\)
(b)
\(\begin{pmatrix}1/\sqrt{3}\\0\\\sqrt{2/3}\end{pmatrix}\)
(c)
\(\begin{pmatrix}0\\0\\1\end{pmatrix}\)
(d)
\(\begin{pmatrix}1/\sqrt{2}\\0\\1/\sqrt{2}\end{pmatrix}\)
Check Answer
Option b
Q.No:5 JEST-2013
What are the eigenvalues of the operator \(H=\vec{\sigma}\cdot \vec{a}\), where \(\vec{\sigma}\) are the three Pauli matrices and \(\vec{a}\) is a vector?
(a)
\(a_x+a_y\) and \(a_z\)
(b)
\(a_x+a_z\pm ia_y\)
(c)
\(\pm(a_x+a_y+a_z)\)
(d)
\(\pm|\vec{a}|\)
Check Answer
Option d
Q.No:6 JEST-2014
Suppose a spin \(1/2\) particle is in the state
\[
|\psi\rangle=\frac{1}{\sqrt{6}}\begin{bmatrix}1+i\\2\end{bmatrix}
\]
If \(S_x\) (\(x\) component of the spin angular momentum operator) is measured what is the probability of getting \(+\hbar/2\)?
(a)
\(1/3\)
(b)
\(2/3\)
(c)
\(5/6\)
(d)
\(1/6\)
Check Answer
Option c
Q.No:7 JEST-2014
Consider an eigenstate of \(\vec{L}^2\) and \(L_z\) operator denoted by \(|l, m\rangle\). Let \(A=\hat{n}\cdot \vec{L}\) denote an operator, where \(\hat{n}\) is a unit vector parametrized in terms of two angles as \((n_x, n_y, n_z)=(\sin{\theta}\cos{\phi}, \sin{\theta}\sin{\phi}, \cos{\theta})\). The width \(\Delta A\) in \(|l, m\rangle\) state is:
(a)
\(\sqrt{\frac{l(l+1)-m^2}{2}}\hbar\cos{\theta}\)
(b)
\(\sqrt{\frac{l(l+1)-m^2}{2}}\hbar\sin{\theta}\)
(c)
\(\sqrt{l(l+1)-m^2}\hbar\sin{\theta}\)
(d)
\(\sqrt{l(l+1)-m^2}\hbar\cos{\theta}\)
Check Answer
Option b
Q.No:8 JEST-2016
The wavefunction of a hydrogen atom is given by the following superposition of energy eigenfunctions \(\psi_{nlm}(\vec{r})\) (\(n, l, m\) are the usual quantum numbers):
\[
\psi(\vec{r})=\frac{\sqrt{2}}{\sqrt{7}}\psi_{100}(\vec{r})-\frac{3}{\sqrt{14}}\psi_{210}(\vec{r})+\frac{1}{\sqrt{14}}\psi_{322}(\vec{r})
\]
The ratio of expectation value of the energy to the ground state energy and the expectation value of \(L^2\) are, respectively:
(a)
\(\frac{229}{504}\) and \(\frac{12\hbar^2}{7}\)
(b)
\(\frac{101}{504}\) and \(\frac{12\hbar^2}{7}\)
(c)
\(\frac{101}{504}\) and \(\hbar^2\)
(d)
\(\frac{229}{504}\) and \(\hbar^2\)
Check Answer
Option a
Q.No:9 JEST-2016
A spin-\(1\) particle is in a state \(|\psi\rangle\) described by the column matrix \((1/\sqrt{10})\{2, \sqrt{2}, 2i\}\) in the \(S_z\) basis. What is the probability that a measurement of operator \(S_z\) will yield the result \(\hbar\) for the state \(S_x |\psi\rangle\)?
(a)
\(1/2\)
(b)
\(1/3\)
(c)
\(1/4\)
(d)
\(1/6\)
Check Answer
Option d
Q.No:10 JEST-2016
A spin-\(1/2\) particle in a uniform external magnetic field has energy eigenstates \(|1\rangle\) and \(|2\rangle\). The system is prepared in ket-state \((|1\rangle+|2\rangle)/\sqrt{2}\) at time \(t=0\). It evolves to the state described by the ket \((|1\rangle-|2\rangle)/\sqrt{2}\) in time \(T\). The minimum energy difference between two levels is:
(a)
\(h/6T\)
(b)
\(h/4T\)
(c)
\(h/2T\)
(d)
\(h/T\)
Check Answer
Option c
Q.No:11 JEST-2016
In the ground state of hydrogen atom, the most probable distance of the electron from the nucleus, in units of Bohr radius \(a_0\) is:
(a)
\(1/2\)
(b)
\(1\)
(c)
\(2\)
(d)
\(3/2\)
Check Answer
Option b
Q.No:12 JEST-2016
A spin \(1/2\) particle is in a state \((|\uparrow\rangle+|\downarrow\rangle)/\sqrt{2}\), where \(|\uparrow\rangle\) and \(|\downarrow\rangle\) are the eigenstates of \(S_z\) operator. The expectation value of the spin angular momentum measured along \(x\) direction is:
(a)
\(\hbar\)
(b)
\(-\hbar\)
(c)
\(0\)
(d)
\(\hbar/2\)
Check Answer
Option d
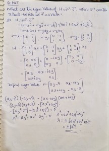
Q.No:13 JEST-2016
If the direction with respect to a right-handed cartesian coordinate system of the ket vector \(|z, +\rangle\) is \((0, 0, 1)\), then the direction of the ket vector obtained by application of rotations: \(\exp{(-i\sigma_z\pi/2)}\exp{(i\sigma_y \pi/4)}\), on the ket \(|z, +\rangle\) is (\(\sigma_y, \sigma_z\) are the Pauli matrices):
(a)
\((0, 1, 0)\)
(b)
\((1, 0, 0)\)
(c)
\((1, 1, 0)/\sqrt{2}\)
(d)
\((1, 1, 1)/\sqrt{3}\)
Check Answer
Option b
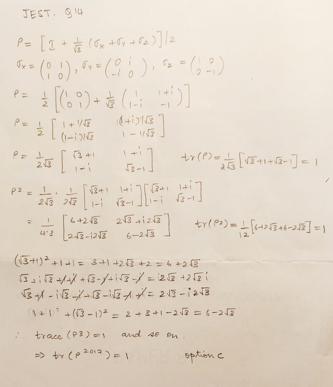
Q.No:14 JEST-2017
If \(\rho=[I+\frac{1}{\sqrt{3}}(\sigma_x+\sigma_y+\sigma_z)]/2\), where \(\sigma\)'s are the Pauli matrices and \(I\) is the identity matrix, then the trace of \(\rho^{2017}\) is
(a)
\(2^{2017}\).
(b)
\(2^{-2017}\).
(c)
\(1\).
(d)
\(\frac{1}{2}\).
Check Answer
Option c
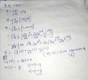
Q.No:15 JEST-2018
A quantum particle of mass \(m\) is moving on a horizontal circular path of radius \(a\). The particle is prepared in a quantum state described by the wavefunction
\[
\psi=\sqrt{\frac{4}{3\pi}}\cos^2{\phi},
\]
\(\phi\) being the azimuthal angle. If a measurement of the \(z\)-component of orbital angular momentum of the particle is carried out, the possible outcomes and the corresponding probabilities are
(a)
\(L_z=0, \pm \hbar, \pm 2\hbar\) with \(P(0)=1/5, P(\pm \hbar)=1/5\) and \(P(\pm 2\hbar)=1/5\)
(b)
\(L_z=0\) with \(P(0)=1\)
(c)
\(L_z=0, \pm \hbar\) with \(P(0)=1/3\) and \(P(\pm \hbar)=1/3\)
(d)
\(L_z=0, \pm 2\hbar\) with \(P(0)=2/3\) and \(P(\pm 2\hbar)=1/6\)
Check Answer
Option d
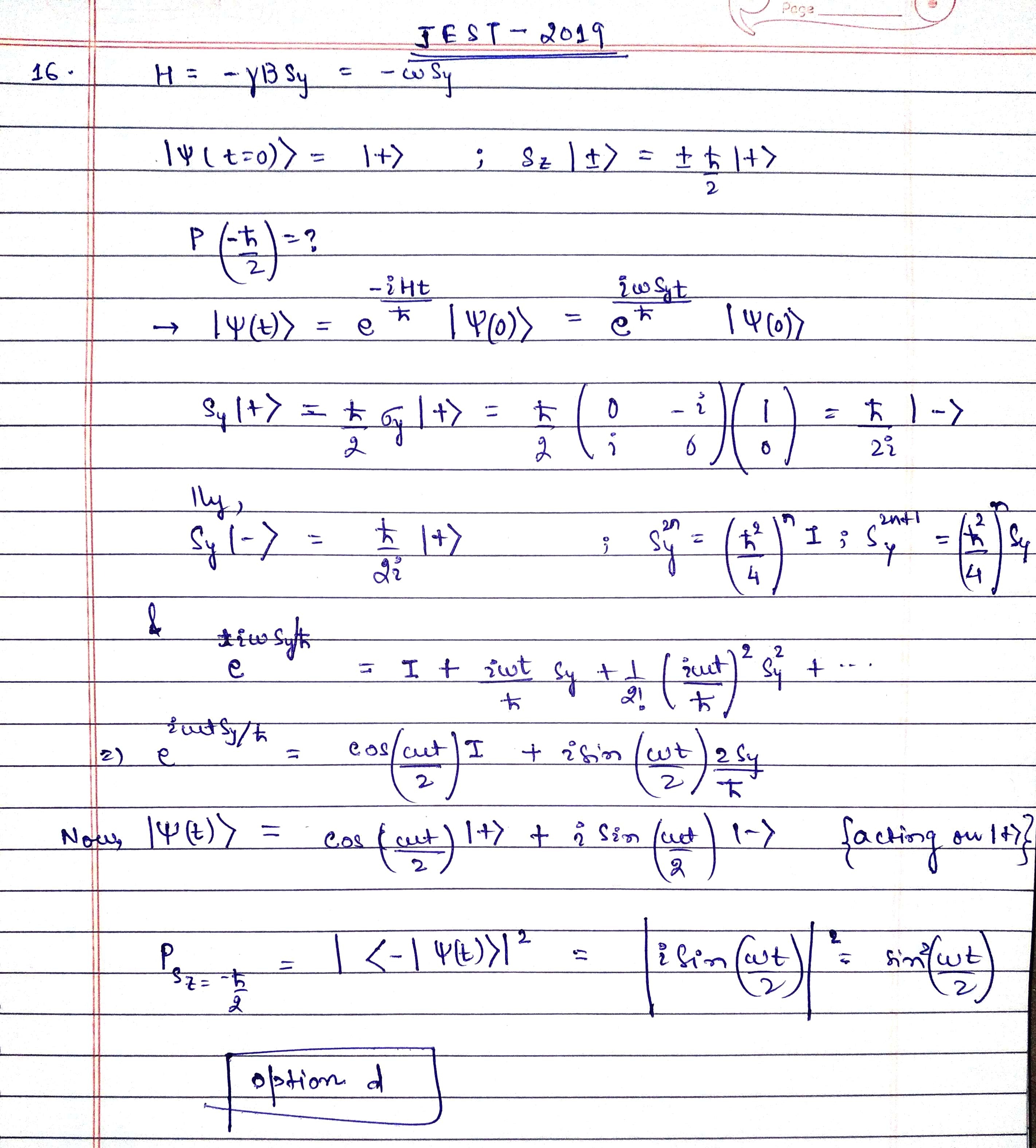
Q.No:16 JEST-2019
For a spin-\(\frac{1}{2}\) particle placed in a magnetic field \(B\), the Hamiltonian is \(\mathcal{H}=-\gamma BS_y=-\omega S_y\), where \(S_y\) is the \(y\)-component of the spin operator. The state of the system at time \(t=0\) is \(|\psi(t=0)\rangle=|+\rangle\), where \(S_z|\pm\rangle=\pm \frac{\hbar}{2}|\pm \rangle\). At a later time \(t\), if \(S_z\) is measured then what is the probability to get a value \(-\frac{\hbar}{2}\)?
(a)
\(\cos^2{(\omega t)}\)
(b)
\(\sin^2{(\omega t)}\)
(c)
\(0\)
(d)
\(\sin^2{(\omega t/2)}\)
Check Answer
Option d
Q.No:17 JEST-2020
A particle in a spherically symmetric potential is known to be in an eigenstate of \(\vec{L}^2\) and \(L_z\) with eigenvalues \(l(l+1)\hbar^2\) and \(m\hbar\), respectively. What is the value of \(\langle l, m|L_x^2|l, m\rangle\)?
(a)
\(\frac{\hbar^2}{2}(l^2+l+m^2)\)
(b)
\(\frac{\hbar^2}{3}(l^2+l)\)
(c)
\(\hbar^2(l^2+l-m^2)\)
(d)
\(\frac{\hbar^2}{2}(l^2+l-m^2)\)
Check Answer
Option d
Q.No:18 JEST-2020
The wavefunction of a particle subjected to a spherically symmetric potential \(V(r)\) is given by \(\psi(\vec{r})=(x-y+2z)f(r)\). Which one of the following statements is true about \(\psi(\vec{r})\)?
(a)
It is an eigenfunction of \(\vec{L}^2\) with \(l=0\)
(b)
It is an eigenfunction of \(\vec{L}^2\) with \(l=1\)
(c)
It is an eigenfunction of \(\vec{L}^2\) with \(l=2\)
(d)
It is not an eigenfunction of \(\vec{L}^2\)
Check Answer
Option b
Q.No:19 JEST-2020
Consider a quantum particle of mass \(m\) moving in a potential
\[
V(x, y)=
\left\{
\begin{array}{ll}
\frac{1}{2}m\omega^2(x^2+y^2), & \text{for }x>0, y>0 \\
\infty, & \text{otherwise}.
\end{array}
\right.
\]
What is the degeneracy of the energy state \(9\hbar \omega\), where \(\omega>0\) measures the strength of the potential?
(a)
\(4\)
(b)
\(2\)
(c)
\(10\)
(d)
\(5\)
Check Answer
Option a
Q.No:20 JEST-2021
If \(\vec{\mathbf{L}}\) is the angular momentum operator in quantum mechanics, the value of \(\vec{\mathbf{L}}\times \vec{\mathbf{L}}\) will be:
(a)
\(0\)
(b)
\(i\hbar \vec{\mathbf{L}}\)
(c)
\(|\vec{\mathbf{L}}|^2\)
(d)
\(\hbar \vec{\mathbf{L}}\)
Check Answer
Option b
Q.No:21 JEST-2016
If \(Y_{xy}=\frac{1}{\sqrt{2}}(Y_{2, 2}-Y_{2, -2})\) where \(Y_{l, m}\) are spherical harmonics, then which of the following is true?
(a)
\(Y_{xy}\) is an eigenfunction of both \(L^2\) and \(L_z\)
(b)
\(Y_{xy}\) is an eigenfunction of \(L^2\) but not \(L_z\)
(c)
\(Y_{xy}\) is an eigenfunction of \(L_z\) but not \(L^2\)
(d)
\(Y_{xy}\) is not an eigenfunction of either \(L^2\) or \(L_z\)
Check Answer
Option b
Q.No:22 JEST-2022
The wavefunction of the electron in a Hydrogen atom in a particular state is given by \(\pi^{-1/2}a_0^{-3/2}\exp{(-r/a_0)}\). Which of the following figures qualitatively depicts the probability (\(P(r)\)) of the electron to be within a distance \(r\) from the nucleus?




Check Answer
Option a
Q.No:23 JEST-2022
Let \(M=2\mathbb{I}+\sigma_x+i\sigma_y+\sigma_z\) is a \(2\times 2\) square matrix, where, \(\sigma_{\alpha}\) denotes \(\alpha^{\text{th}}\) Pauli matrix, and \(\mathbb{I}\) denotes the \(2\times 2\) identity matrix. It is given that \(|u\rangle=\begin{pmatrix}1\\0\end{pmatrix}\) and \(|v\rangle=\begin{pmatrix}1\\-1\end{pmatrix}\) are column vectors. What is the value of \(\langle u|\sqrt{M}|v\rangle\)?
Check Answer
Ans 1
Q.No:24 JEST-2023
Consider a spin-1/2 particle in the quantum state \(|\psi (\beta , \alpha)\rangle =cos \hspace{1.5mm} (\frac{\beta}{2}) \hspace{1.5mm} |\uparrow \rangle + sin \hspace{1.5mm} (\frac{\beta}{2}) \hspace{1.5mm}
e^{i \alpha} \hspace{1.5mm} |\downarrow \rangle\) where \(0 \leq \beta \leq \pi \) and \(0 \leq \alpha \leq 2\pi\). For which values of \((\delta, \gamma)\) is the state \(| \psi(\delta, \gamma) \rangle\) orthogonal to \(| \psi(\beta, \alpha) \rangle\) ?
(a) \((\pi +\beta , \pi - \alpha)\)
(b) \((\pi -\beta , \pi - \alpha)\)
(c) \((\pi +\beta , \pi + \alpha)\)
(d) \((\pi -\beta , \pi +\alpha)\)
Check Answer
Option d
Q.No : 25 JEST-2023
Consider a spin-1 system whose \(\hat{S}_z\) eigenstates are given by \(| -1 \rangle,| 0 \rangle,| +1 \rangle\) corresponding to the eigenvalues \(-\hbar , 0, \hbar\). The normalized general state \(| \psi \rangle\) of the system can be expressed as
\[ | \psi \rangle= c_{-1} | -1 \rangle+c_0 | 0 \rangle+c_{+1}| +1 \rangle \]
and \(c_{-1}, c_0, c_{+1}\) are complex numbers. Subjected to the condition \(\langle \psi | \hat{S}_z| \psi \rangle=0\) which of the
following statements is true?
(a) \(|c_{+1}|^2+2|c_0|^2=1\)
(b) \(|c_{-1}|^2+2|c_0|^2=1\)
(c) \(2|c_{-1}|^2+|c_{+1}|^2=1\)
(d) \(2|c_{-1}|^2+|c_0|^2=1\)
Check Answer
Option d
Q.No : 26 JEST-2023
Consider the operator \(S \cdot \hat{n}\) with eigenkets \(| \pm \rangle_{\hat{n}}\) and eigenvalues \(\pm \frac{\hbar}{2}\) where \(\hat{n}\) is a unit vector and \(S\) is the spin operator. A partially polarized beam of spin-\(\frac{1}{2}\) particles contains a 25-75
mixture of two pure ensembles, one with \(| + \rangle_{\hat{z}}\)
and the other with \(|+ \rangle_{\hat{x}}\) respectively. What is the
ensemble average of
\[\frac{S \cdot \hat{x}}{\hbar} ?\]
(a) \(\frac{1}{3}\)
(b) \(\frac{3}{8}\)
(c) \(\frac{1}{4}\)
(d) \(\frac{3}{16}\)
Check Answer
Option b
Q.No : 27 JEST-2024
Consider a particle of mass \( m \) moving in a three-dimensional delta-function potential well \( V(\vec{r}) = -\alpha\delta^3(\vec{r}), \) where \( \alpha > 0 \). Which of the following is an allowed expression for the energy of a bound state for some dimensionless proportionality constant \( \beta > 0 \)?
(a) \( -\frac{\beta \hbar^6}{\alpha^2 m^3} \)
(b) \( \frac{\beta \hbar^6}{\alpha^2 m^3} \)
(c) \( -\frac{\beta \alpha^2 m}{\hbar^2} \)
(d) \( \frac{\beta \alpha^2 m}{\hbar^2} \)
Check Answer
Option a
Q.No : 28 JEST-2024
A two-level quantum system has the Hamiltonian
\[ H = \hbar \omega_0 \begin{pmatrix} 0 & 1 \\ 1 & 0 \end{pmatrix} \].
At \( t = 0 \), the system is in the state
\[ |\psi(0)\rangle = \begin{pmatrix} 1 \\ 0 \end{pmatrix} \].
What is the earliest time \( t > 0 \) at which a measurement of
\[ \sigma_z = \begin{pmatrix} 1 & 0 \\ 0 & -1 \end{pmatrix} \]
will yield the value \( -1 \) with probability one?
(a) Never
(b) \( \frac{2\pi}{\omega_0} \)
(c) \( \frac{\pi}{\omega_0} \)
(d) \( \frac{\pi}{2\omega_0} \)
Check Answer
Option d
Q.No : 29 JEST-2024
Two electrons have orbital angular momentum quantum numbers \( l_1 = 3 \) and \( l_2 = 2 \), respectively. Let \( L^z = L^z_1 + L^z_2 \), where \( L^z_1 \) and \( L^z_2 \) are the z-components of the respective angular momentum operators. How many linearly independent states have \( L^z \) quantum number \( m = 2 \)?
(a) 3
(b) 4
(c) 11
(d) 0
Check Answer
Option b
Q.No : 30 JEST-2025
Three observers successively measure the spin of a given proton along the z–axis, x–axis and again z–axis, respectively. The first observer finds the spin projection to be \(+\frac{1}{2}\). Assuming no other factors, what is the probability that the third observer finds the spin projection to be \(-\frac{1}{2}\)?
(A) 0
(B) 1
(C) 0.5
(d) None of the others
Check Answer
Option C
Q.No : 31 JEST-2025
Given the mass of the proton \(m_{p} \simeq 1836\,m_{e}\) and mass of the deuteron \(m_{d} \simeq 3670\,m_{e}\), where \(m_{e}\) is the electron mass, find the fractional shift (in parts per million, to the nearest integer) of the ground state energy of the deuterium atom as compared to H-atom.
Check Answer
272
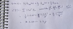
Q.No: 1 TIFR-2012
The normalized wavefunctions of a Hydrogen atom are denoted by \(\psi_{n, \ell, m}(\vec{x})\), where \(n, \ell\) and \(m\) are, respectively, the principal, azimuthal and magnetic quantum numbers respectively. Now consider an electron in the mixed state
\[
\Psi(\vec{x})=\frac{1}{3}\psi_{1, 0, 0}(\vec{x})+\frac{2}{3}\psi_{2, 1, 0}(\vec{x})+\frac{2}{3}\psi_{3, 2, -2}(\vec{x})
\]
The expectation value \(\langle E\rangle\) of the energy of this electron, in electron-Volts eV) will be approximately
(a)
\(-1.5\)
(b)
\(-3.7\)
(c)
\(-13.6\)
(d)
\(-80.1\)
(e)
\(+13.6\)
Check Answer
Option b
Q.No:2 TIFR-2012
The strongest three lines in the emission spectrum of an interstellar gas cloud are found to have wavelengths \(\lambda_0, 2\lambda_0\) and \(6\lambda_0\) respectively, where \(\lambda_0\) is a known wavelength. From this we can deduce that the radiating particles in the cloud behave like
(a)
free particles
(b)
particles in a box
(c)
harmonic oscillators
(d)
rigid rotators
(e)
hydrogenic atoms
Check Answer
Option d
Q.No: 3 TIFR-2013
An energy eigenstate of the Hydrogen atom has the wave function
\[
\psi_{n\ell m}(r, \theta, \varphi)=\frac{1}{81\sqrt{\pi}}\left(\frac{1}{a_0}\right)^{3/2}\sin{\theta}\cos{\theta}\exp{\left[-\left(\frac{r}{3a_0}+i\varphi\right)\right]}
\]
where \(a_0\) is the Bohr radius. The principal (\(n\)), azimuthal (\(\ell\)) and magnetic (\(m\)) quantum numbers corresponding to this wave function are
(a)
\(n=3, \ell=2, m=1\)
(b)
\(n=2, \ell=1, m=1\)
(c)
\(n=3, \ell=2, m=-1\)
(d)
\(n=2, \ell=1, m=\pm 1\)
Check Answer
Option c
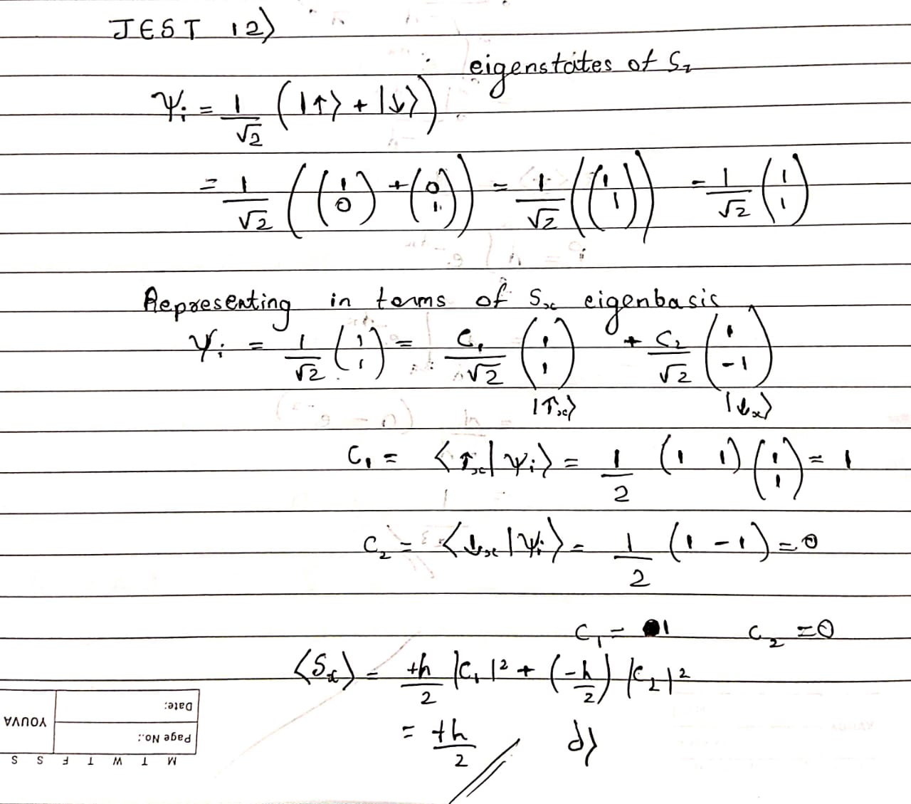
Q.No: 4 TIFR-2014
Consider the Hamiltonian
\[
H=f\vec{\sigma}\cdot \vec{x}
\]
Here \(\vec{x}\) is the position vector, \(f\) is a constant and \(\vec{\sigma}=(\sigma_x, \sigma_y, \sigma_z)\), where \(\sigma_x, \sigma_y, \sigma_z\) are the three Pauli matrices. The energy eigenvalues are
(a)
\(f(\sqrt{x^2+y^2}\pm z)\)
(b)
\(f(x\pm iy)\)
(c)
\(\pm f\sqrt{x^2+y^2+z^2}\)
(d)
\(\pm f(x+y+z)\)
Check Answer
Option c
Q.No: 5 TIFR-2014
(d)
A rigid rotator is in a quantum state described by the wavefunction
\[
\psi(\theta, \varphi)=\sqrt{\frac{3}{4\pi}}\sin{\theta}\sin{\varphi}
\]
where \(\theta\) and \(\varphi\) are the usual polar angles. If two successive measurements of \(L_z\) are made on this rotator, the probability that the second measurement will yield the value \(+\hbar\) is
(a)
\(0.25\)
(b)
\(0.33\)
(c)
\(0.5\)
(d)
negligible
Check Answer
Option c
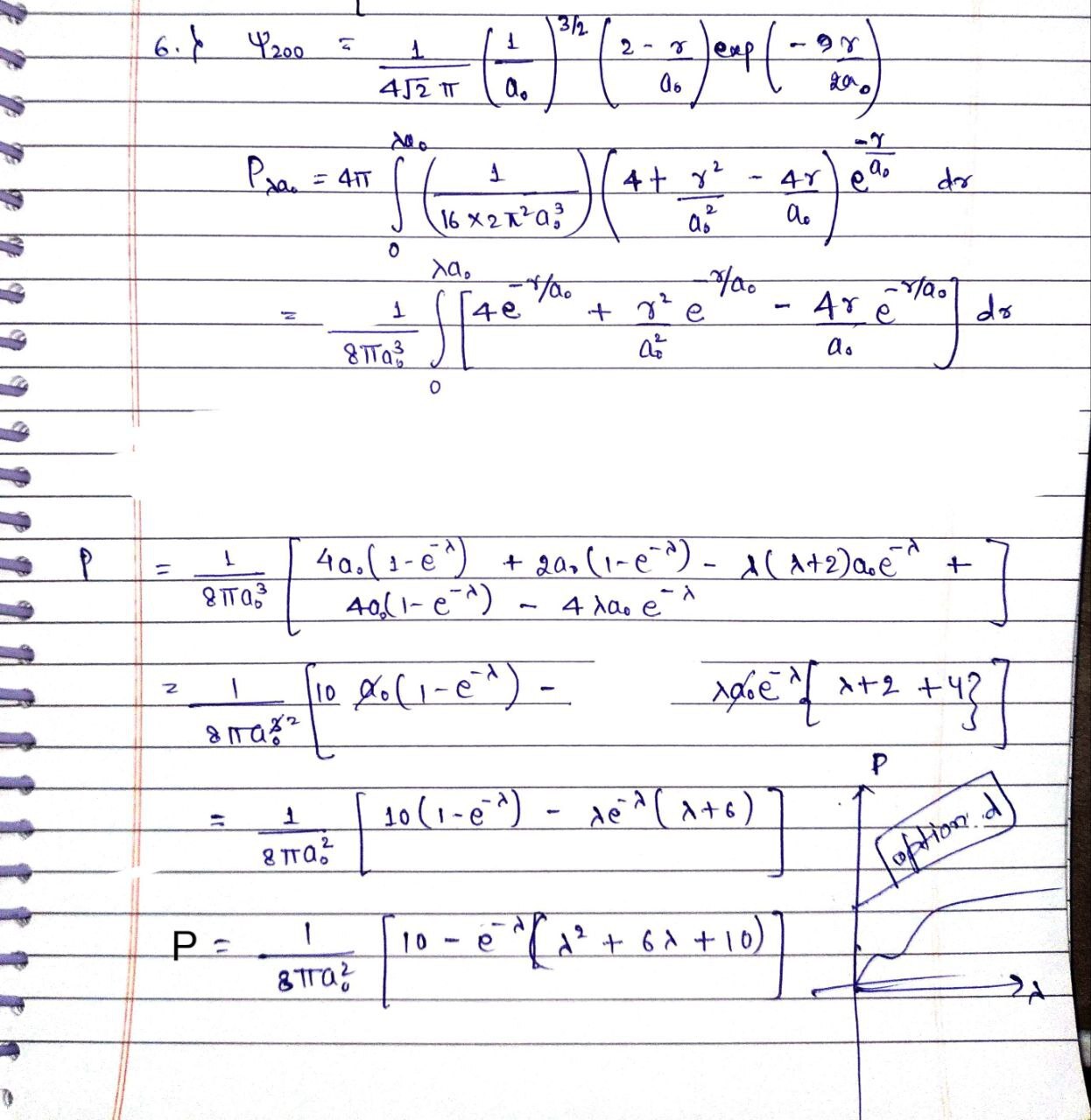
Q.No: 6 TIFR-2014
A particle in the \(2s\) state of hydrogen has the wave function
\[
\psi_{2s}(r)=\frac{1}{4\sqrt{2}\pi}\left(\frac{1}{a_0}\right)^{3/2}\left(2-\frac{r}{a_0}\right)\exp{\left(-\frac{r}{2a_0}\right)}
\]
where \(r\) is the radial coordinate w.r.t. the nucleus as origin and \(a_0\) is the Bohr radius. The probability \(P\) of finding the electron somewhere inside a sphere of radius \(\lambda a_0\) centred at the nucleus, is best described by the graph

Check Answer
Option d
Q.No: 7 TIFR-2014
In a Stern-Gerlach experiment with spin-1/2 particles, the beam is found to form two spots on the screen, one directly above the other. The experimenter now makes a hole in the screen at the position of the upper spot. The particles that go through this hole are then passed through another Stern-Gerlach apparatus but with its magnets rotated by \(90\) degrees counterclockwise about the axis of the beam direction. Which of the following shows what happens on the second screen?

Check Answer
Option d
Q.No : 8 TIFR-2015
The ground state energy of a particle of mass \(m\) in a three-dimensional cubical box of side \(\ell\) is not zero but \(3h^2/8m\ell^2\). This is because
(a)
the ground state has no nodes in the interior of the box.
(b)
this is the most convenient choice of the zero level of potential energy.
(c)
position and momentum cannot be exactly determined simultaneously.
(d)
the potential at the boundaries is not really infinite, but just very large.
Check Answer
Option c
Q.No: 9 TIFR-2015
A one-dimensional box contains a particle whose ground state energy is \(\epsilon\). It is observed that a small disturbance causes the particle to emit a photon of energy \(h\nu=8\epsilon\), after which it is stable. Just before emission, a possible state of the particle in terms of the energy eigenstates \(\{\psi_1, \psi_2, ...\}\) would be
(a)
\(\frac{\psi_1-\psi_2}{\sqrt{2}}\)
(b)
\(\frac{\psi_2+2\psi_3}{\sqrt{5}}\)
(c)
\(\frac{-4\psi_4+5\psi_5}{\sqrt{41}}\)
(d)
\(\frac{\sqrt{2}\psi_1-3\psi_2+5\psi_5}{6}\)
Check Answer
Option b
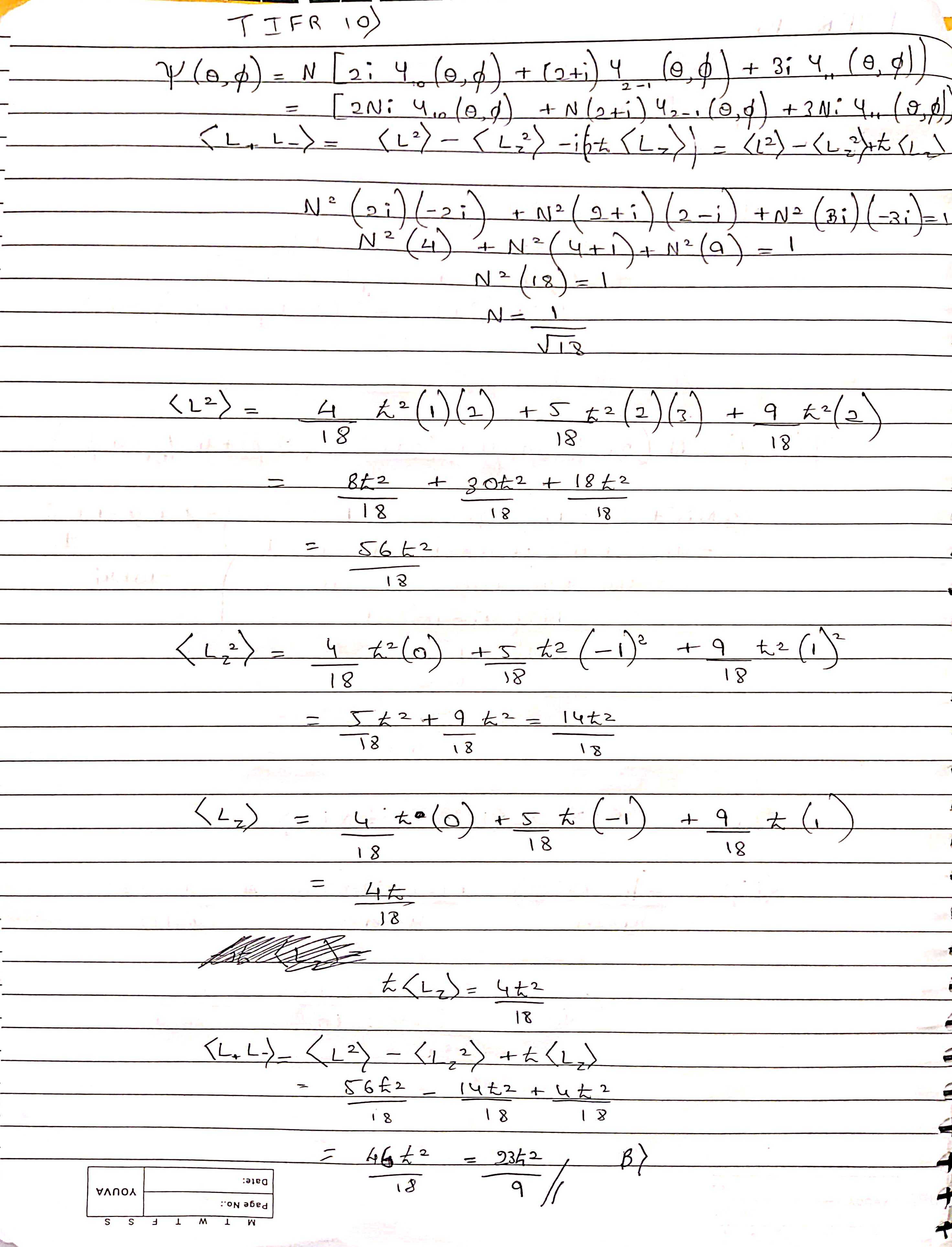
Q.No: 10 TIFR-2015
An rigid rotator has the wave function
\[
\psi(\theta, \varphi)=N[2iY_{1, 0}(\theta, \varphi)+(2+i)Y_{2, -1}(\theta, \varphi)+3iY_{1, 1}(\theta, \varphi)]
\]
where \(Y_{l, m}(\theta, \varphi)\) are the spherical harmonics, and \(N\) is a normalization constant. If \(\vec{L}\) is the orbital angular momentum operator, and \(L_{\pm}=L_x\pm iL_y\) the expectation value of \(L_{+} L_{-}\) is
(a)
\(21\hbar^2/9\)
(b)
\(23\hbar^2/9\)
(c)
\(25\hbar^2/9\)
(d)
\(0\)
Check Answer
Option b
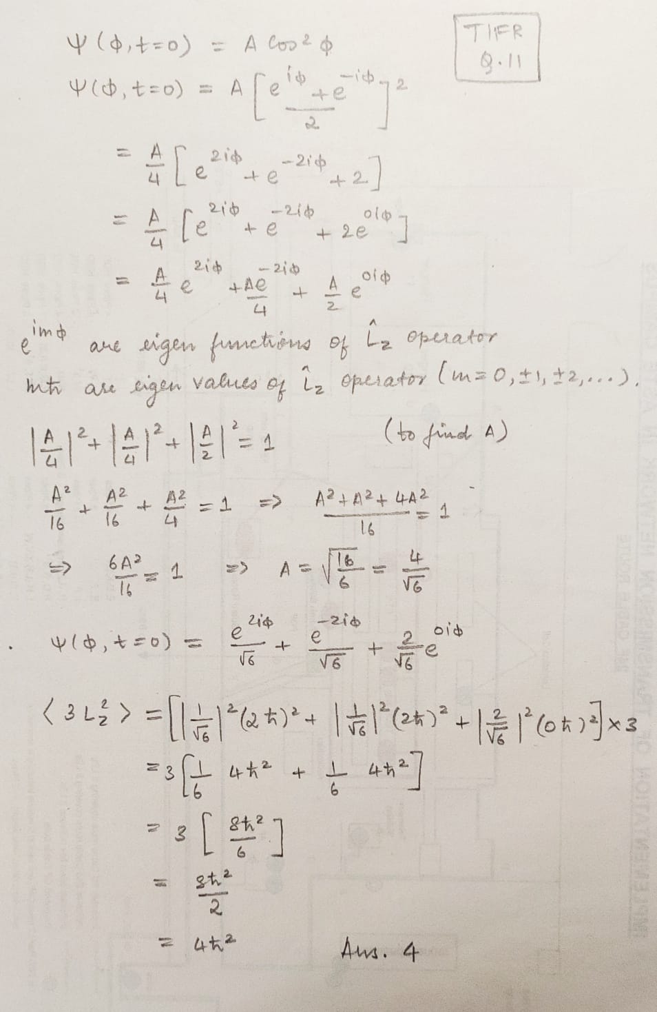
Q.No: 11 TIFR-2016
A quantum mechanical plane rotator consists of two rigidly connected particles of mass \(m\) and connected by a massless rod of length \(d\) is rotating in the \(x\)-\(y\) plane about their centre of mass. Suppose that the initial state of the rotor is given by
\[
\psi(\varphi, t=0)=A\cos^2{\varphi},
\]
where \(\varphi\) is the angle between one mass and the \(x\) axis, while \(A\) is a normalization constant. Find the expectation value of \(3\hat{L}^2_Z\) in this state, in units of \(\hbar^2\).
Check Answer
Answer 4
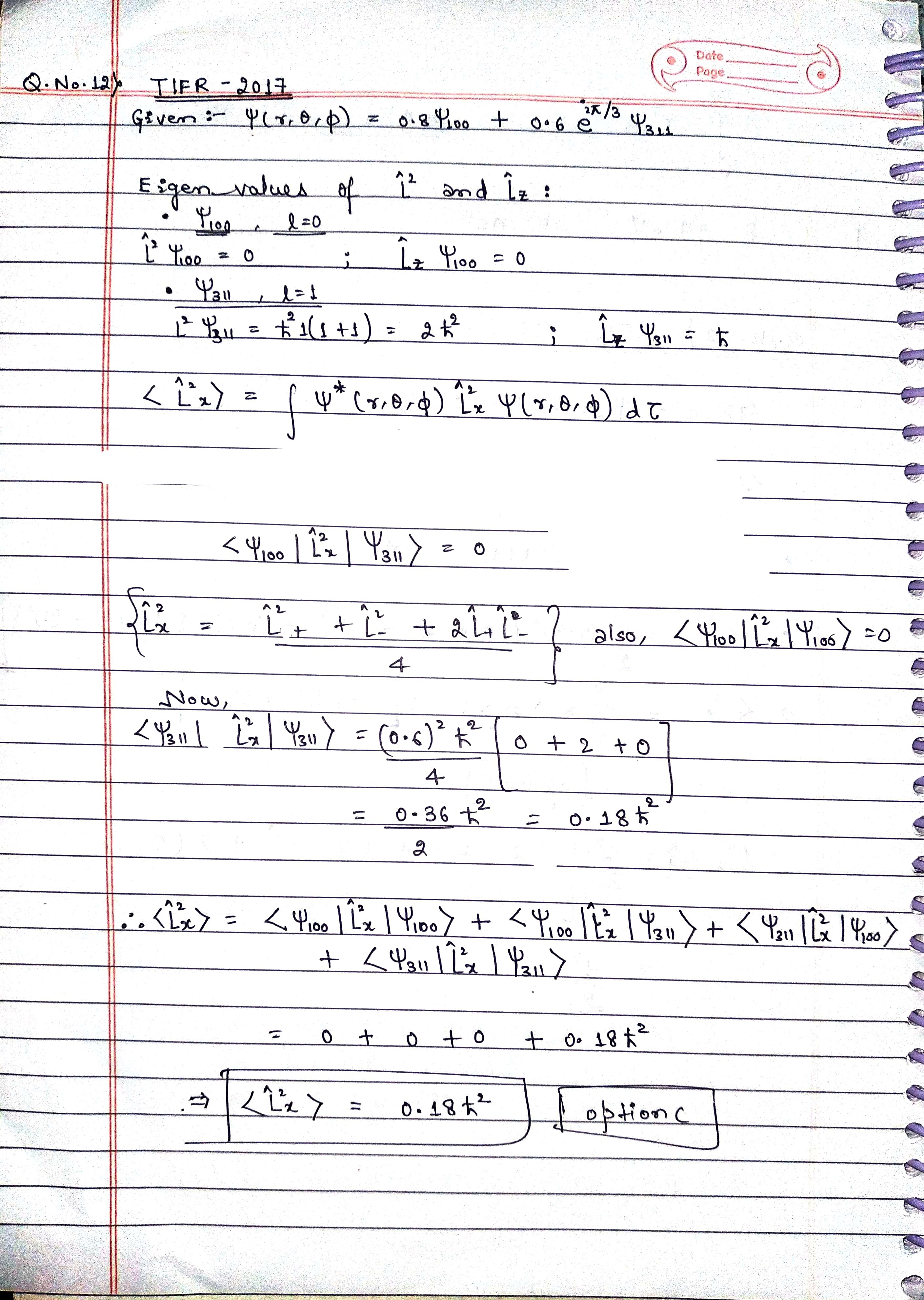
Q.No: 12 TIFR-2017
Electrons in a given system of hydrogen atoms are described by the wave function
\[
\psi(r, \theta, \varphi)=0.8\Psi_{100}+0.6e^{i\pi/3}\Psi_{311}
\]
where the \(\Psi_{n\ell m}\) denote normalized energy eigenstates. If \((\hat{L}_x, \hat{L}_y, \hat{L}_z)\) are the components of he orbital angular momentum operator, the expectation value of \(\hat{L}_x^2\) in this system is
(a)
\(1.5\hbar^2\)
(b)
\(0.36\hbar^2\)
(c)
\(0.18\hbar^2\)
(d)
Zero
Check Answer
Option c
Q.No: 13 TIFR-2018
A particle is in the ground state of a cubical box of side \(\ell\). Suddenly one side of the box changes from \(\ell\) to \(4\ell\). If \(p\) is the probability of finding the particle in the ground state of the new box, what is \(1000p\)?
Check Answer
Answer 58
Q.No: 14 TIFR-2018
An electron is in the \(2s\) level of the hydrogen atom, with the radial wave-function
\[
\psi(r)=\frac{1}{2\sqrt{2}a_0^{3/2}}\left(2-\frac{r}{a_0}\right)\exp{\left(-\frac{r}{2a_0}\right)}.
\]
The probability \(P(r)\) of finding this electron between distances \(r\) to \(r+dr\) from the centre is best represented by the sketch

Check Answer
Option b
Q.No: 15 TIFR-2019
An electron in a hydrogen atom is in a state described by the wavefunction:
\[
\Psi(\vec{r})=\frac{1}{\sqrt{10}}\psi_{100}(\vec{x})+\sqrt{\frac{2}{5}}\psi_{210}(\vec{x})+\sqrt{\frac{2}{5}}\psi_{211}(\vec{x})-\frac{1}{\sqrt{10}}\psi_{21, -1}(\vec{x})
\]
where \(\psi_{n\ell m}(\vec{x})\) denotes a normalized wavefunction of the hydrogen atom with the principal quantum number \(n\), angular quantum number \(\ell\) and magnetic quantum number \(m\).
Neglecting the spin-orbit interaction, the expectation values \(\hat{L}_Z\) and \(\hat{L}^2\) for this state are
(a)
\(3\hbar/10, 9\hbar^2/5\)
(b)
\(3\hbar/5, 9\hbar^2/10\)
(c)
\(3\hbar/4, 9\hbar^2/25\)
(d)
\(8\hbar/10, 3\hbar^2/5\)
Check Answer
Option a
Q.No: 16 TIFR-2020
The wave function of a particle subjected to a three-dimensional spherically-symmetric potential \(V(r)\) is given by
\[
\psi(\vec{x})=(x+y+3z)f(r)
\]
The expectation value for the operator \(\vec{L}^2\) for this state is
(a)
\(\hbar^2\)
(b)
\(2\hbar^2\)
(c)
\(5\hbar^2\)
(d)
\(11\hbar^2\)
Check Answer
Option b
Q.No: 17 TIFR-2020
A fermion of mass \(m\), moving in two dimensions, is strictly confined inside a square box of side \(\ell\). The potential inside is zero. A measurement of the energy of the fermion yields the result
\[
E=\frac{65\pi^2 \hbar^2}{2m\ell^2}
\]
The degeneracy of this energy state is
(d)
\(2\)
(d)
\(4\)
(d)
\(8\)
(d)
\(16\)
Check Answer
Option c
Q.No: 18 TIFR-2012
If we model the electron as a uniform sphere of radius \(r_e\), spinning uniformly about an axis passing through its centre with angular momentum \(L_e=\hbar/2\), and demand that the velocity of rotation at the equator cannot exceed the velocity \(c\) of light in vacuum, then the minimum value of \(r_e\) is
(a) \(19.2 fm\)
(b) \(0.192 fm\)
(c) \(4.8 fm\)
(d) \(1960 fm\)
(e) \(480 fm\)
Check Answer
Option e
Q.No: 19 TIFR-2021
An electron is confined to a two-dimensional square box with the following potential
\[
V=
\left\{
\begin{array}{ll}
0 & \text{for }0<x<L\text{ and }<0<y<L, \\
\infty & \text{otherwise}
\end{array}
\right.
\]
The probability distribution of the electron in one of its eigenstates is shown below

How many total different eigenstates of the electron have the same energy as this state?
(a) \(4\)
(b) \(2\)
(c) \(6\)
(d) \(1\)
Check Answer
Option a
Q.No: 20 TIFR-2021
The Hamiltonian of a spin-\(1/2\) particle in a magnetic field \(\vec{B}\) is given by \(H=-\mu \vec{S}\cdot \vec{B}\), where the components of the spin operator \(\vec{S}\) have eigenvalues \(\pm \hbar/2\). The spin is pointing in the \(+\hat{x}\) direction, when a magnetic field \(\vec{B}=B\hat{y}\) is turned on. After a time \(t=\pi/2\mu B\), the spin will be pointing along the direction.
(a) \(+\hat{z}\)
(b) \(-\hat{z}\)
(c) \(-\hat{x}\)
(d) \(\hat{x}+\hat{z}\)
Check Answer
Option a
Q.No : 22 TIFR-2021
An electron moves in a hydrogen atom potential in a state \(|\Psi\rangle\) that has the wave function
\[
\Psi(r, \theta, \varphi)=N R_{21}(r)[2iY_1^{-1}(\theta, \varphi)+(2+i)Y_1^0(\theta, \varphi)+3iY_1^1(\theta, \varphi)]
\]
where \(N\) is a normalization constant, \(R_{nl}(r)\) is the radial wave function and the \(Y_l^m(\theta, \varphi)\) are spherical harmonics.
The expectation value of \(\hat{L}_z\), i.e. the \(\hat{z}\)-component of the angular momentum operator is
(a) \(\frac{5}{18}\hbar\)
(b) \(\frac{4}{18}\hbar\)
(c) \(\frac{9}{18}\hbar\)
(d) \(\frac{13}{18}\hbar\)
Check Answer
Option a
Q.No: 23 TIFR-2022
The Principle of Linear Superposition of electron states in quantum mechanics is nicely illustrated by the
(a) Davisson-Germer experiment
(b) Compton scattering experiment
(c) Franck-Hertz experiment
(d) Millikan oil-drop experiment
Check Answer
Option a
Q.No: 24 TIFR-2022
In a matrix mechanics formulation, a spin-1 particle has angular momentum
components
\[L_x= \frac{\hbar}{2} \begin{pmatrix}0&1&-1\\1&\sqrt{2}&0 \\ -1&0&-\sqrt{2}\end{pmatrix} \hspace{4mm} L_z= \frac{\hbar}{2} \begin{pmatrix}2&0&0\\0&-1&-1 \\ 0&-1&-1\end{pmatrix}\]
It follows that \(L_y\) =
(a) \(\frac{\hbar}{2} \begin{pmatrix}0&-i&i\\i&0&-i\sqrt{2} \\ -i&i\sqrt{2}&0\end{pmatrix}\)
(b) \(\frac{\hbar}{2} \begin{pmatrix}0&i&-i\\-i&0&i\sqrt{2} \\ i&-i\sqrt{2}&0\end{pmatrix}\)
(c) \(\sqrt{2} \hbar \begin{pmatrix}0&\sqrt{2}&0 \\ \sqrt{2}&1&0 \\ 0&0&-1\end{pmatrix}\)
(d) \(\sqrt{2} \hbar \begin{pmatrix}0&-\sqrt{2}&0 \\ -\sqrt{2}&-1&0 \\ 0&0&1\end{pmatrix}\)
Check Answer
Option a
Q.No: 25 TIFR-2023
Consider an electron with mass \(m_e\), charge \(-e\) and spin \(1/2\), whose spin angular momentum operator is given by
\(\hat{\vec{S}}=\frac{\hbar}{2}\vec{\sigma}\)
This electron is placed in a magnetic field \(\vec{B}=B_x \hat{i}+B_y \hat{j}+B_z \hat{k}\), where all three components \((B_x. B_y, B_z)\) are nonvanishing.
At time \(t=0\), the electron is at rest in the \(S_z=\hbar/2\) state. The earliest time when the state of the spin will be orthogonal to the initial state is
(a) \(\frac{2m_e}{ge|\vec{B}|}\)
(b) infinity, i.e., it will never be orthogonal.
(c) \(\frac{4m_e}{ge|\vec{B}|}\)
(d) dependent on the direction of the magnetic field \(\vec{B}\)
Check Answer
Option b
Q.No: 26 TIFR-2024
A particle of mass \( m \) is subjected to a force \( \vec{F}(r) \) such that the wavefunction \( \phi(\vec{p}, t) \) satisfies the momentum-space Schrödinger equation
\[
\left( \frac{\vec{p}^2}{2m} - a \vec{\nabla}_p^2 \right) \phi(\vec{p}, t) = i\hbar \frac{\partial \phi(\vec{p}, t)}{\partial t}
\]
where \( a \) is a real constant and
\[
\vec{\nabla}_p^2 = \frac{\partial^2}{\partial p_x^2} + \frac{\partial^2}{\partial p_y^2} + \frac{\partial^2}{\partial p_z^2}
\]
It follows that \( \vec{F}(r) \) equals
1) \(- \frac{2a}{\hbar^2} \vec{r}\)
2) \( \frac{2a}{\hbar^2} \vec{r} \)
3) \( -\frac{a \hbar^2}{r^3} \vec{r}\)
4) \( \frac{a \hbar^2}{r^3}\vec{r} \)
Check Answer
Option 1
Q.No: 27 TIFR-2024
An electron confined in a two-dimensional square box, is in the ground state. The length of the side of this square is unknown, but it is seen that the electron jumps to the first excited energy state by absorbing electromagnetic radiation of wavelength 4,040 nm. What is the length of one side of the square well?
(a) \( 1.91 \text{ nm} \)
(b) \( 1.68 \text{ nm} \)
(c) \( 2.55 \text{ nm} \)
(d) \( 3.82 \text{ nm} \)
Check Answer
Option a
Q.No: 28 TIFR-2024
A quantum-mechanical state of a particle, with Cartesian coordinates \( x, y \), and \( z \), is described by the normalized wave function
\[
\psi(x, y, z) = \frac{\alpha^{5/2}}{\sqrt{\pi}} z e^{-\alpha\sqrt{(x^2+y^2+z^2)}}
\]
For this state what are the angular quantum number \( \ell \), \( L^2 \) and \( L_z \) respectively?
(a) \( 0; 0; 0 \)
(b) \( 1; 2\hbar^2; \hbar \)
(c) \( 1; 2\hbar^2; 0 \)
(d) \( 2; 6\hbar^2; 0 \)
Check Answer
Option c
Q.No: 29 TIFR-2025
Consider a stationary electron in a uniform, time–independent magnetic field of strength \(B_{0}/4\) oriented in the \(\hat{z}\)–direction. The Hamiltonian for this system is expressed as
\[
H = -\,\frac{e}{m}\,\vec{S} \cdot \vec{B}
\]
where \(\vec{S}\) is the spin–\(\frac{1}{2}\) operator for electrons. The initial electron spin is oriented in the \(\hat{x}\)–direction. The spin precession frequency of the electrons is:
(A) \(\frac{|e| B_{0}}{4m}\)
(B) \(\frac{|e| B_{0}}{8m}\)
(C) \(\frac{|e| B_{0}}{2m}\)
(D) 0
Check Answer
NO OPTIONS ARE CORRECT
Q.No: 30 TIFR-2025
Let \(|nlm\rangle\) denote the energy eigenstates of nonrelativistic hydrogen atoms without spin, and \(a_{0}\) is the Bohr radius. The matrix element
\[
\langle n = 2,\, l = 1,\, m_{z} = 0 \mid \hat{x} \mid n = 2,\, l = 0,\, m_{z} = 0 \rangle
\]
is:
(A) 0
(B) \(\sqrt{2}\,a_{0}\)
(C) \(a_{0}\)
(D) \(\sqrt{3}\,a_{0}\)
Check Answer
Option A
Q.No: 31 TIFR-2025
Consider a free particle in 3 spatial dimensions described by the Hamiltonian
\[
\hat{H} = \frac{\hat{p}^{2}}{2m}
\]
It is initially in a state described by a normalized wavefunction
\[
\psi(\mathbf{r}, t = 0) = \left(\frac{\gamma}{\pi}\right)^{3/4} e^{-\gamma r^{2}/2}
\]
What is the probability density of finding the particle with energy \(E\) at time \(t\)?
(Hint: Express the wavefunction in momentum space.)
(The following integral might be useful:
\[
\int_{-\infty}^{+\infty} dx\, \frac{1}{\sqrt{2\pi}} e^{-ikx} e^{-\gamma x^{2}/2}
= \frac{1}{\sqrt{\gamma}} e^{-k^{2}/(2\gamma)}
\]
(A) \(\frac{4\pi m}{\hbar^{3}} (\gamma \pi)^{-3/2} \sqrt{2mE}\, e^{-2mE/(\gamma \hbar^{2})}\)
(B) \(\frac{4\pi m}{\hbar^{3}} (\gamma \pi)^{-3/2} \sqrt{\frac{2m\hbar}{t}}\, e^{-2mE/(\gamma \hbar^{2})}\)
(C) \(\frac{2m}{\hbar} \frac{1}{\sqrt{2mE}} (\gamma \pi)^{-1/2} e^{-2mE/(\gamma \hbar^{2})}\)
(D) \(\frac{2\pi m}{\hbar^{2}} (\gamma \pi)^{-1} e^{-2mE/(\gamma \hbar^{2})}\)

Q.No.1 Discussion (JEST) :
(pi)^2
Q.No.2 Discussion (JEST) :
Q.No.3 Discussion (JEST) :
Option B
Q.No.4 Discussion (JEST) :
option b
Q.No.5 Discussion (JEST) :
Q no 5
Q.No.6 Discussion (JEST) :
Q no 6
Q.No.7 Discussion (JEST) :
Option B
Q.No.8 Discussion (JEST) :
Answer
Answer Part 2
Q.No.9 Discussion (JEST) :
Q no9
Q.No.10 Discussion (JEST) :
Q no 10
Q no 10(2)
Q.No.11 Discussion (JEST) :
solution
Q.No.12 Discussion (JEST) :
Answer: D
Q.No.13 Discussion (JEST) :
Q.No.14 Discussion (JEST) :
Answer
Q.No.15 Discussion (JEST) :
Q 15
Q.No.16 Discussion (JEST) :
option d
Q.No.17 Discussion (JEST) :
Q.No.18 Discussion (JEST) :
Q.No.19 Discussion (JEST) :
Q19
Q.No.20 Discussion (JEST) :
Option B
Q.No.21 Discussion (JEST) :
Q.No.22 Discussion (JEST) :
Q.No.23 Discussion (JEST) :
Q.No.24 Discussion (JEST) :
Q.No.25 Discussion (JEST) :
Q.No.26 Discussion (JEST) :
Q.No.27 Discussion (JEST) :
Q.No.28 Discussion (JEST) :
Q.No.29 Discussion (JEST) :
Q.No.30 Discussion (JEST) :
Q.No.31 Discussion (JEST) :
Q.No.32 Discussion (JEST) :
Q.No.0 Discussion (JEST) :
Ans
Q.No.1 Discussion (TIFR) :
Ans
Q.No.2 Discussion (TIFR) :
Q.No.3 Discussion (TIFR) :
ans
Q.No.4 Discussion (TIFR) :
Option c
Q.No.5 Discussion (TIFR) :
Option C
Q.No.6 Discussion (TIFR) :
option d
Q.No.7 Discussion (TIFR) :
Q.No.8 Discussion (TIFR) :
Ans
Q.No.9 Discussion (TIFR) :
solution
Q.No.10 Discussion (TIFR) :
Answer: B
Q.No.11 Discussion (TIFR) :
Answer
Q.No.12 Discussion (TIFR) :
option c
Q.No.13 Discussion (TIFR) :
Q13
Q.No.14 Discussion (TIFR) :
Q.No.15 Discussion (TIFR) :
Q.No.16 Discussion (TIFR) :
Q.No.17 Discussion (TIFR) :