CAUTION : Try solving the problem yourself for at least 5–10 minutes before clicking the AI Assistant. In the exam hall, you will be on your own.
Q.No:1 TIFR-2012
Two different \(2\times 2\) matrices \(A\) and \(B\) are found to have the same eigenvalues. It is then correct to state that \(A=SBS^{-1}\) where \(S\) can be a
(a) traceless \(2\times 2\) matrix
(b) Hermitian \(2\times 2\) matrix
(c) unitary \(2\times 2\) matrix
(d) arbitrary \(2\times 2\) matrix
Check Answer
Option c
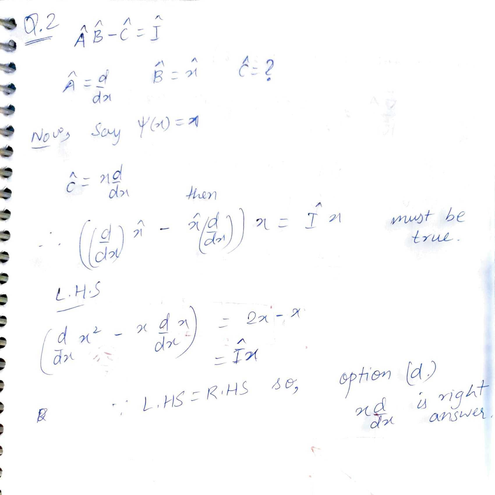
Q.No:2 TIFR-2013
Consider a quantum mechanical system with three linear operators \(\hat{A}, \hat{B}\) and \(\hat{C}\), which are related by
\[
\hat{A}\hat{B}-\hat{C}=\hat{I}
\]
where \(\hat{I}\) is the unit operator. If \(\hat{A}=d/dx\) and \(\hat{B}=x\), then \(\hat{C}\) must be
(a) zero
(b) \(\frac{d}{dx}\)
(c) \(-x\frac{d}{dx}\)
(d) \(x\frac{d}{dx}\)
Check Answer
Option d
Q.No:3 TIFR-2013
The state \(|\psi\rangle\) of a quantum mechanical system, in a certain basis, is represented by the column vector
\[
|\psi\rangle=
\begin{pmatrix}
1/\sqrt{2} \\
0 \\
1/\sqrt{2}
\end{pmatrix}
\]
The operator \(\hat{A}\) corresponding to a dynamical variable \(A\), is given, in the same basis, by the matrix
\[
\hat{A}=
\begin{pmatrix}
1&1&1\\
1&2&1\\
1&1&2
\end{pmatrix}
\]
If, now, a measurement of the variable \(A\) is made on the system in the state \(|\psi\rangle\), the probability that the result will be \(+1\) is
(a) \(1/\sqrt{2}\)
(c) \(1\)
(b) \(1/2\)
(d) \(1/4\)
Check Answer
Option d
Q.No:4 TIFR-2014
The product \(\mathbf{M}\mathbf{N}\) of two Hermitian matrices \(\mathbf{M}\) and \(\mathbf{N}\) is anti-Hermitian. It follows that
(a) \(\{\mathbf{M}, \mathbf{N}\}=0\)
(b) \([\mathbf{M}, \mathbf{N}]=0\)
(c) \(\mathbf{M}^{\dagger}=\mathbf{N}\)
(d) \(\mathbf{M}^{\dagger}=\mathbf{N}^{-1}\)
Check Answer
Option a
Q.No:5 TIFR-2015
\(1000\) neutral spinless particles are confined in a one-dimensional box of length \(100 nm\). At a given instant of time, if \(100\) of these particle have energy \(4\epsilon_0\) and the remaining \(900\) have energy \(225\epsilon_0\), then the number of particles in the left half of the box will be approximately
(a) \(625\)
(b) \(500\)
(c) \(441\)
(d) \(100\)
Check Answer
Option b
Q.No:6 TIFR-2016
If the eigenvalues of a symmetric \(3\times 3\) matrix \(\mathbf{A}\) are \(0, 1, 3\) and the corresponding eigenvectors can be written as
\[
\begin{pmatrix}1\\1\\1\end{pmatrix},
\begin{pmatrix}1\\0\\-1\end{pmatrix},
\begin{pmatrix}1\\-2\\1\end{pmatrix}
\]
respectively, then the matrix \(\mathbf{A}^4\) is
(a) \(\begin{pmatrix}41&-81&40\\-81&0&-81\\40&-81&41\end{pmatrix}\)
(b) \(\begin{pmatrix}-82&-81&79\\-81&81&-81\\79&-81&83\end{pmatrix}\)
(c) \(\begin{pmatrix}14&-27&13\\-27&54&-27\\13&-27&14\end{pmatrix}\)
(d) \(\begin{pmatrix}14&-13&27\\-13&54&-13\\27&-13&14\end{pmatrix}\)
Check Answer
Option c
Q.No:7 TIFR-2016
A particle moving in one dimension is confined inside a rigid box located between \(x=-a/2\) and \(x=a/2\). If the particle is in its ground state
\[
\psi_0(x)=\sqrt{2/a}\cos{\frac{\pi x}{a}}
\]
the quantum mechanical probability of its having a momentum \(p\) is given by
(a) \(\frac{8\hbar^4}{(\pi^2 \hbar^2-p^2 a^2)^2}\cos^2{\frac{pa}{2\hbar}}\)
(b) \(\frac{\pi^2 \hbar^4}{(\pi^2 \hbar^2-p^2 a^2)^2}\sin^2{\frac{pa}{2\hbar}}\)
(c) \(\frac{2\hbar^4}{(\pi^2 \hbar^2-p^2 a^2)^2}\cos^2{\frac{pa}{2\hbar}}\)
(d) \(\frac{16\hbar^4}{(\pi^2 \hbar^2-p^2 a^2)^2}\)
Check Answer
Option a
Q.No:8 TIFR-2017
Denote the commutator of two matrices \(A\) and \(B\) by \([A, B]=AB-BA\) and the anti-commutator by \(\{A, B\}=AB+BA\).
If \(\{A, B\}=0\), we can write \([A, BC]=\)
(a) \(-B[A, C]\)
(b) \(B\{A, C\}\)
(c) \(-B\{A, C\}\)
(d) \([A, C]B\)
Check Answer
Option c
Q.No:9 TIFR-2017
The matrix
\[
\begin{pmatrix}
100\sqrt{2}&x&0\\
-x&0&-x\\
0&x&100\sqrt{2}
\end{pmatrix}
\]
where \(x>0\), is known to have two equal eigenvalues. Find the value of \(x\).
Check Answer
Ans 50
Q.No:10 TIFR-2017
A unitary matrix \(U\) is expanded in terms of a Hermitian matrix \(H\), such that
\[
U=e^{i\pi H/2}
\]
If we know that
\[
H=\begin{pmatrix}
1/2&0&\sqrt{3}/2\\
0&1&0\\
\sqrt{3}/2&0&-1/2
\end{pmatrix}
\]
then \(U\) must be
(a) \(\begin{pmatrix}i&1/2&\sqrt{3}/2\\1/2&i&1/2\\\sqrt{3}/2&1/2&i\end{pmatrix}\)
(b) \(\begin{pmatrix}i/2&0&i\sqrt{3}/2\\0&i&0\\i\sqrt{3}/2&0&-i/2\end{pmatrix}\)
(c) \(\begin{pmatrix}1&0&\sqrt{3}\\0&2&0\\\sqrt{3}&0&-1\end{pmatrix}\)
(d) \(\begin{pmatrix}2i&1&\sqrt{3}/2\\1&2i&0\\\sqrt{3}/2&0&2i\end{pmatrix}\)
Check Answer
Option b
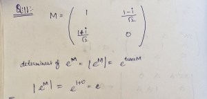
Q.No:11 TIFR-2018
If a \(2\times 2\) matrix \(\mathbb{M}\) is given by
\[
\mathbb{M}=\begin{pmatrix}
1&(1-i)/\sqrt{2}\\
(1+i)/\sqrt{2}&0
\end{pmatrix}
\]
then \(\det{\exp{\mathbb{M}}}=\)
(a) \(e\)
(b) \(e^2\)
(c) \(2i\sin{\sqrt{2}}\)
(d) \(\exp{(-2\sqrt{2})}\)
Check Answer
Option a
Q.No:12 TIFR-2019
The eigenvalues of a \(3\times 3\) matrix \(\mathbb{M}\) are
\[
\lambda_1=2 ~ \lambda_2=-1 ~ \lambda_3=1
\]
and the eigenvectors are
\[
e_1=\begin{pmatrix}1\\1\\1\end{pmatrix}
e_2=\begin{pmatrix}1\\1\\-2\end{pmatrix}
e_3=\begin{pmatrix}1\\-1\\0\end{pmatrix}
\]
The matrix \(\mathbb{M}\) is
(a) \(\begin{pmatrix}1&0&1\\0&1&1\\1&1&0\end{pmatrix}\)
(b) \(\begin{pmatrix}0&1&1\\1&0&0\\1&0&2\end{pmatrix}\)
(c) \(\begin{pmatrix}1&0&0\\1&0&-1\\0&-1&1\end{pmatrix}\)
(d) \(\begin{pmatrix}1&1&0\\1&0&1\\0&1&1\end{pmatrix}\)
Check Answer
Option a
Q.No:13 TIFR-2020
The eigenvector \(e_1\) corresponding to the smallest eigenvalue of the matrix
\[
\begin{pmatrix}
2a^2&a&0\\
a&1&a\\
0&a&2a^2
\end{pmatrix}
\]
where \(a=\sqrt{\frac{3}{2}}\), is given (in terms of its transpose) by
(a) \(e_1^T=\frac{1}{2}\begin{pmatrix}\frac{1}{\sqrt{2}}&-\sqrt{3}&\frac{1}{\sqrt{2}}\end{pmatrix}\)
(b) \(e_1^T=\frac{1}{2}\begin{pmatrix}\sqrt{\frac{3}{2}}&1&\sqrt{\frac{3}{2}}\end{pmatrix}\)
(c) \(e_1^T=\frac{1}{\sqrt{2}}\begin{pmatrix}1&0&-1\end{pmatrix}\)
(d) \(e_1^T=\frac{1}{\sqrt{2}}\begin{pmatrix}1&0&1\end{pmatrix}\)
Check Answer
Option a
Q.No:14 TIFR-2020
The momentum operator
\[
i\hbar\frac{d}{dx}
\]
acts on a wavefunction \(\psi(x)\). This operator is Hermitian
(a) provided the wavefunction \(\psi(x)\) is normalized
(b) provided the wavefunction \(\psi(x)\) and derivate \(\psi'(x)\) are continuous everywhere
(c) provided the wavefunction \(\psi(x)\) vanishes as \(x\to \pm \infty\)
(d) by its very definition
Check Answer
Option c
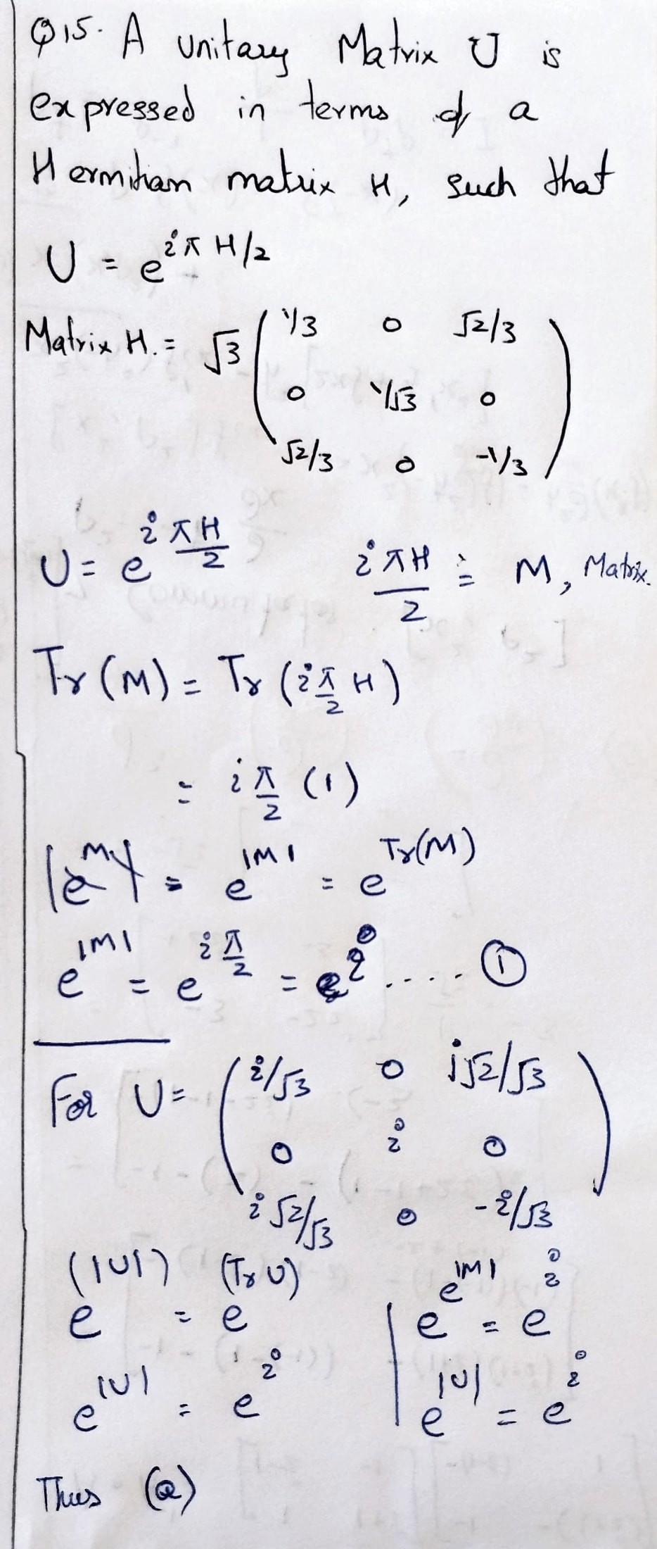
Q.No:15 TIFR-2021
A unitary matrix \(U\) is expressed in terms of a Hermitian matrix \(H\), such that
\[
U=e^{i\pi H/2}
\]
If the matrix \(H\) is given by
\[
H=\sqrt{3}
\begin{pmatrix}
1/3&0&\sqrt{2}/3\\
0&1/\sqrt{3}&0\\
\sqrt{2}/3&0&-1/3
\end{pmatrix}
\]
then \(U\) will have the form
(a) \(\begin{pmatrix}i/\sqrt{3}&0&i\sqrt{2}/\sqrt{3}\\0&i&0\\i\sqrt{2}/\sqrt{3}&0&-i/\sqrt{3}\end{pmatrix}\)
(b) \(\begin{pmatrix}\sqrt{3}&0&\sqrt{6}\\0&3\sqrt{3}&0\\\sqrt{6}&0&-\sqrt{3}\end{pmatrix}\)
(c) \(\begin{pmatrix}i\sqrt{3}&1/\sqrt{3}&\sqrt{2}/\sqrt{3}\\1/\sqrt{3}&i&1/\sqrt{3}\\\sqrt{2}/\sqrt{3}&1/\sqrt{3}&i/\sqrt{3}\end{pmatrix}\)
(d) \(\begin{pmatrix}3\sqrt{3}i&\sqrt{3}&3/2\\\sqrt{3}&i&0\\\sqrt{2}/\sqrt{3}&0&3\sqrt{3}i\end{pmatrix}\)
Check Answer
Option a
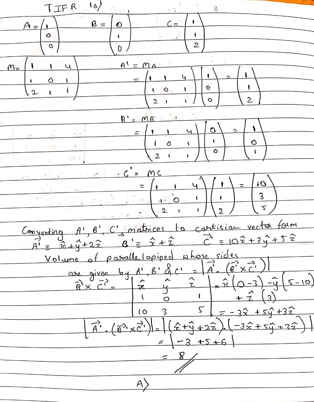
Q.No:16 TIFR-2022
Consider a set of three 3-dimensional vectors
\[A=\begin{pmatrix}1 \\ 0\\0\end{pmatrix} \hspace{4mm} B=\begin{pmatrix}0 \\ 1 \\ 0\end{pmatrix} \hspace{4mm} C=\begin{pmatrix}1 \\ 1 \\ 2\end{pmatrix} \]
These vectors undergo a linear transformation
\[A \to A'=\mathbb{M} A \hspace{4mm} B \to B'=\mathbb{M} B \hspace{4mm} C \to C'=\mathbb{M} C\]
where \(\mathbb{M}\) is given by
\[\mathbb{M}=\begin{pmatrix} 1&1&4 \\1&0&1 \\ 2&1&1\end{pmatrix}\]
The volume of a parallelopiped whose sides are given by the transformed vectors \(A', B'\) and \(C'\) is
(c) 8
(c) 4
(c) 2
(c) 16
Check Answer
Option a
Q.No:17 TIFR-2022
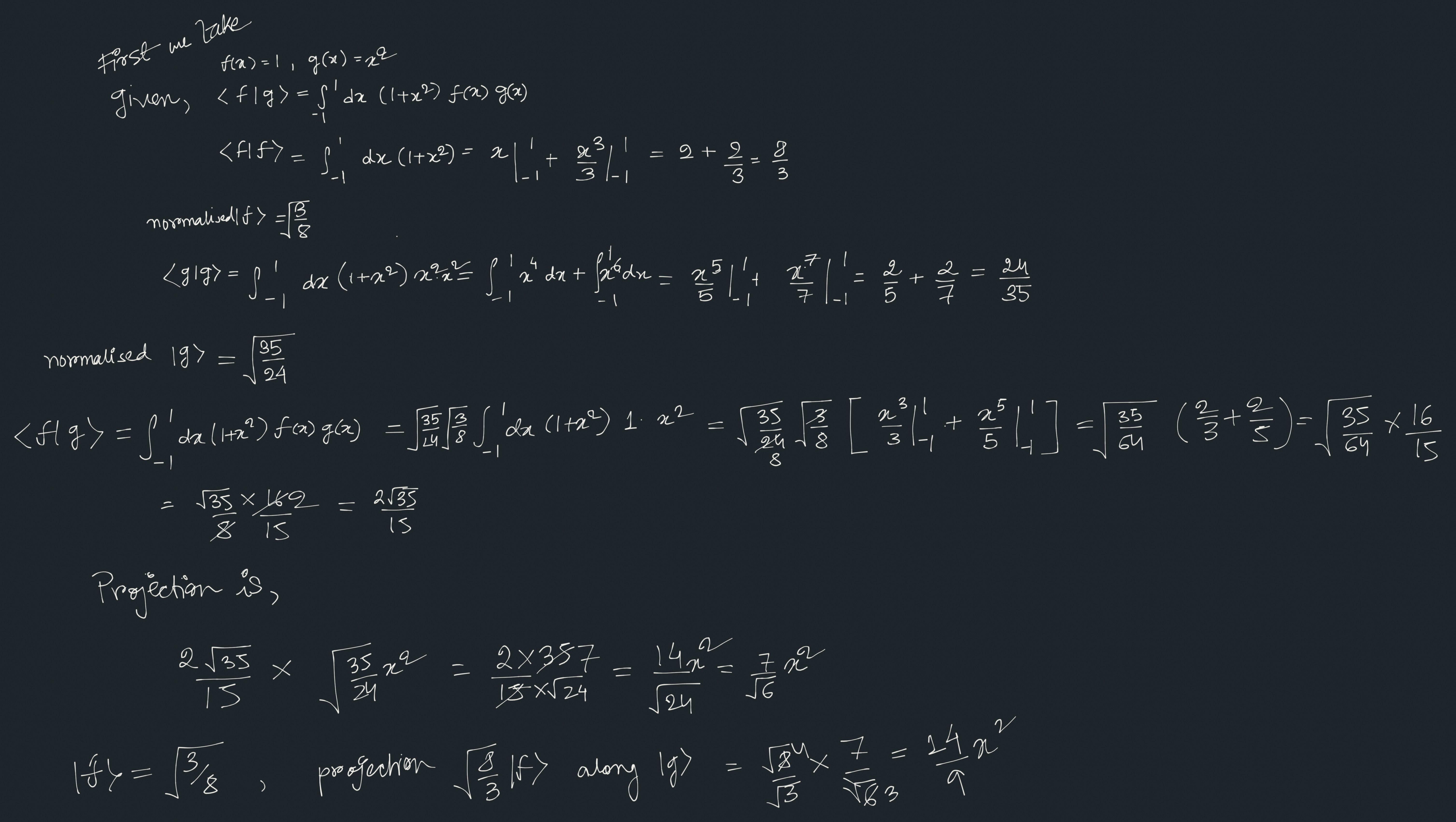
Consider the inner product in the space of normalisable functions defined on the interval [-1,1]
\[\langle f|g\rangle=\int_{-1} ^{1} dx \hspace{1mm} (1+x^2) \hspace{1mm} f(x) \hspace{1mm} g(x)\]
The projection of the vector 1 along the vector \(x^2\) is
(a) \(\frac{14}{9} x^2\)
(b) \(\frac{16}{15} \sqrt{\frac{35}{24}}x^2\)
(c) \(\frac{16}{15} x^2\)
(d) \(\sqrt{\frac{35}{24}}x^2\)
Check Answer
Option a
Q.No:18 TIFR-2022
A particle is confined to a one-dimensional lattice with a lattice spacing \(\delta\). In the position space, the Hamiltonian operator for this particle is given by the matrix
\[H=E_0 \begin{pmatrix} ...&... & 0&0&0&0 \\ ...& 2&-1 & 0 &0 & 0 \\ 0&-1&2&-1&0&0 \\ 0&0&-1&2&-1&0 \\ 0&0&0&-1&2&... \\ 0&0&0&0&...&...\end{pmatrix}\]
Noting that it commutes with the generator \(T\) of translations
\[T= \begin{pmatrix} ...&... & 0&0&0&0 \\ ...& 0&1 & 0 &0 & 0 \\ 0&0&0&1&0&0 \\ 0&0&0&0&1&0 \\ 0&0&0&0&...&... \\ 0&0&0&0&...&...\end{pmatrix}\]
where \(T=e^{i P \hspace{0.5mm} \delta/\hbar}\) in terms of the momentum operator \(P\), the energy of a state with momentum \(p\) will be
(a) \(4E_0 \hspace{1mm} sin^2 (p\delta / 2\hbar)\)
(b) \(E_0 \hspace{1mm} cos (p\delta / \hbar)\)
(c) \(E_0 \hspace{1mm} sin (p\delta / \hbar)\)
(d) \(E_0 \hspace{1mm} (p\delta / 2\hbar)^2\)
Check Answer
Option a
Q.No:19 TIFR-2023
Consider a symmetric matrix
\[M=\begin{pmatrix}1/3&0&2/3\\0&1&0 \\ 2/3&0&1/3\end{pmatrix}\]
An orthogonal matrix \(O\) which can be diagonalize this matrix by an orthogonal transformation \(O^T MO\) is given by \(O=\)
(a) \(\begin{pmatrix}\sqrt{3/2}&0&\sqrt{1/3}\\0&1&0 \\ \sqrt{1/3}&0&-\sqrt{2/3}\end{pmatrix}\)
(b) \(\begin{pmatrix}1/\sqrt{2}&0&i/\sqrt{2}\\0&1&0 \\ 1/\sqrt{2}&0&-i/\sqrt{2}\end{pmatrix}\)
(c) \(\begin{pmatrix}1/\sqrt{2}&0&1/\sqrt{2}\\0&1&0 \\ 1/\sqrt{2}&0&-1/\sqrt{2}\end{pmatrix}\)
(d) \(\begin{pmatrix}\sqrt{1/3}&0&\sqrt{3/2}\\0&1&0 \\ \sqrt{2/3}&0&-\sqrt{1/3}\end{pmatrix}\)
Check Answer
Option c
Q.No:20 TIFR-2024
Consider \( \hat{x} \) and \( \hat{p}_x \) as the quantum mechanical position and linear momentum operators with eigenstates \( |x\rangle \) and \( |p_x\rangle \), and eigenvalues \( x \) and \( p_x \), respectively.
The eigenvalue of \( \hat{x} \) acting on the state
\[ |\psi\rangle = e^{\frac{i\hat{p}_x a}{2\hbar}} |x\rangle \]
is
1) \( x + \frac{a}{2} \)
2) \( x - \frac{a}{2} \)
3) \( x + a \)
4) \( x - a \)
Check Answer
Option 2
Q.No:20 TIFR-2024
Consider the following matrix
\[ M = \begin{pmatrix}
1 & 5 & -7 & 1 \\
1 & 0 & 2 & 2 \\
9 & -1 & 3 & 1 \\
9 & 6 & -7 & -4
\end{pmatrix} \]
What is \( \det e^M \)?
1) e
2)\(e^{1210}\)
3) 1
4) \(e^{-1210}\)
Check Answer
Option 3
Q.No:21 TIFR-2025
The \(n \times n\) \((n > 4)\) matrix \(M\), with all entries equal to \(1\), has:
1) Precisely \(n - 1\) degenerate eigenvalues and one other non-degenerate eigenvalue
2) Precisely \(n - 2\) degenerate eigenvalues and two other non-degenerate eigenvalues
3) Precisely \(2\) degenerate eigenvalues and \(n - 2\) other non-degenerate eigenvalues
4) No degenerate eigenvalues

Sir 13th question answer is given wrong. Correct option is A. I checked with the original answer key.
Q.No.1 Discussion :
Q1
Q.No.2 Discussion :
Q NO. 2 solution. In this question, property of commutator is used.
Q.No.3 Discussion :
.
Q.No.4 Discussion :
Q4 TIFR
Q.No.5 Discussion :
Q5 TIFR
Q.No.6 Discussion :
Q.No.7 Discussion :
Q.No.8 Discussion :
Q no 8
Q.No.9 Discussion :
Q no 9
Q.No.10 Discussion :
Q.No.11 Discussion :
Q no 11
Q.No.12 Discussion :
ans
ans part 2
Q.No.13 Discussion :
Q no 13
Q.No.14 Discussion :
Q.No.15 Discussion :
Ans
Q.No.16 Discussion :
Answer: A
Q.No.17 Discussion :
TIFR 2022
Q.No.18 Discussion :
Q.No.19 Discussion :
Q.No.20 Discussion :
Q.No.21 Discussion :
Q21