CAUTION : Try solving the problem yourself for at least 5–10 minutes before clicking the AI Assistant. In the exam hall, you will be on your own.
Q.No:1 GATE-2012
The wavefunction of a particle moving in free space is given by, \(\psi=e^{ikx}+2e^{-ikx}\)
The energy of the particle is
(A) \(\frac{5\hbar^2 k^2}{2m}\)
(B) \(\frac{3\hbar^2 k^2}{4m}\)
(C) \(\frac{\hbar^2 k^2}{2m}\)
(D) \(\frac{\hbar^2 k^2}{m}\)
Check Answer
Option C
Q.No:2 GATE-2012
The wavefunction of a particle moving in free space is given by, \(\psi=e^{ikx}+2e^{-ikx}\)
The probability current density for the real part of the wavefunction is
(A) \(1\)
(A) \(\frac{\hbar k}{m}\)
(A) \(\frac{\hbar k}{2m}\)
(A) \(0\)
Check Answer
Option D
Q.No:3 GATE-2015
The dispersion relation for phonons in a one dimensional monatomic Bravais lattice with lattice spacing \(a\) and consisting of ions of masses \(M\) is given by, \(\omega(k)=\sqrt{\frac{2C}{M}[1-\cos{(ka)}]}\), where \(\omega\)is the frequency of oscillation, \(k\) is the wavevector and \(C\) is the spring constant. For the long wavelength modes (\(\lambda\gg a\)), the ratio of the phase velocity to the group velocity is __________________
Check Answer
Ans 1
Q.No:4 GATE-2016
A particle of mass \(m\) and energy \(E\), moving in the positive \(x\) direction, is incident on a step potential at \(x=0\), as indicated in the figure. The height of the potential is \(V_0\), where \(V_0>E\). At \(x=x_0\), where \(x_0>0\), the probability of finding the electron is \(1/e\) times the probability of finding it at \(x=0\). If \(\alpha=\sqrt{\frac{2m(V_0-E)}{\hbar^2}}\), the value of \(x_0\) is

(A) \(\frac{2}{\alpha}\)
(B) \(\frac{1}{\alpha}\)
(C) \(\frac{1}{2\alpha}\)
(D) \(\frac{1}{4\alpha}\)
Check Answer
Option C
Q.No:5 GATE-2017
A free electron of energy \(1 eV\) is incident upon a one-dimensional finite potential step of height \(0.75 eV\). The probability of its reflection from the barrier is __________ (up to two decimal places).
Check Answer
Ans 0.10-0.12
Q.No:6 GATE-2019
Consider a potential barrier \(V(x)\) of the form:

where \(V_0\) is a constant. For particles of energy \(E<V_0\) incident on this barrier from the left, which of the following schematic diagrams best represents the probability density \(|\psi(x)|^2\) as a function of \(x\).




Check Answer
Option A
Q.No: 7 GATE-2024
A particle is subjected to a potential
\[
V(x) =
\begin{cases}
\infty, & x \leq 0 \\
V_0, & a \leq x \leq b \\
0, & \text{elsewhere}
\end{cases}
\]
Here, \( a > 0 \) and \( b > a \). If the energy of the particle \( E < V_0 \), which one of the following schematics is a valid quantum mechanical wavefunction (\( \Psi \)) for the system?




Check Answer
Option 2
Q.No: 8 GATE-2025
Which one of the following is correct for the phase velocity \(v_{p}\) and group velocity \(v_{g}\)? (c is the speed of light in vacuum)
1) For matter waves in the relativistic case, \(v_{p} v_{g} > c^{2}\)
2) For electromagnetic waves in a medium, \(v_{p}\) represents the speed with which energy propagates
3) For electromagnetic waves in a medium, both \(v_{p}\) and \(v_{g}\) can be more than \(c\)
4) For matter waves in free space, \(v_{p} \ne v_{g}\)
Check Answer
Option 4
Q.No:1 CSIR-June-2016
A particle of mass \(m\) moves in one dimension under the influence of the potential \(V(x)=-\alpha \delta(x)\), where \(\alpha\) is a positive constant. The uncertainty in the product \((\Delta x)(\Delta p)\) in its ground state is
(1) \(2\hbar\)
(2) \(\hbar/2\)
(3) \(\hbar/\sqrt{2}\)
(4) \(\sqrt{2}\hbar\)
Check Answer
Option 3
Q.No:2 CSIR-Dec-2016
A particle in one dimension is in a potential \(V(x)=A\delta(x-a)\). Its wavefunction \(\psi(x)\) is continuous everywhere. The discontinuity in \(\frac{d\psi}{dx}\) at \(x=a\) is
(1) \(\frac{2m}{\hbar^2}A\psi(a)\)
(2) \(A(\psi(a)-\psi(-a))\)
(3) \(\frac{\hbar^2}{2m}A\)
(4) \(0\)
Check Answer
Option 1
Q.No:3 CSIR-June-2017
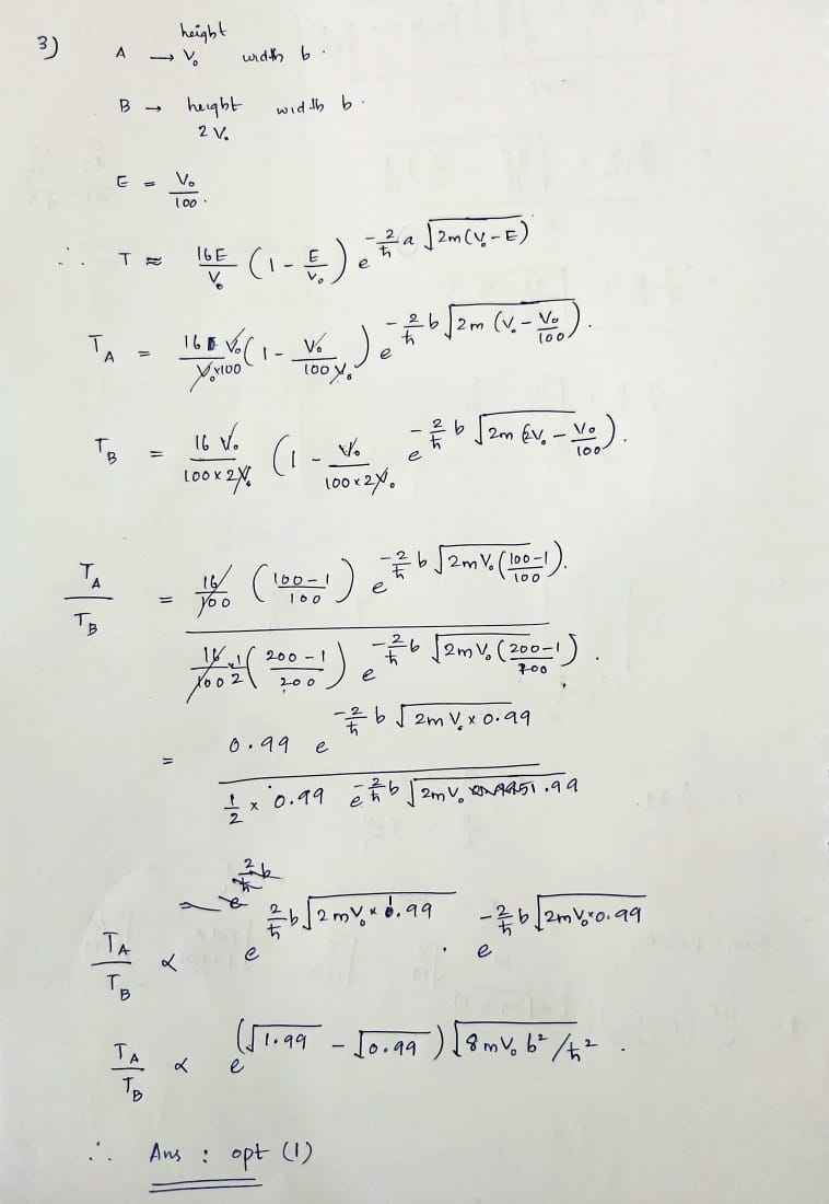
Consider a potential barrier A of height \(V_0\) and width \(b\), and another potential barrier B of height \(2V_0\) and the same width \(b\). The ratio \(T_A/T_B\) of tunnelling probabilities \(T_A\) and \(T_B\), through barriers A and B respectively, for a particle of energy \(V_0/100\), is best approximated by
(1) \(\exp{\left[(\sqrt{1.99}-\sqrt{0.99})\sqrt{8mV_0 b^2/\hbar^2}\right]}\)
(2) \(\exp{\left[(\sqrt{1.98}-\sqrt{0.98})\sqrt{8mV_0 b^2/\hbar^2}\right]}\)
(3) \(\exp{\left[(\sqrt{2.99}-\sqrt{0.99})\sqrt{8mV_0 b^2/\hbar^2}\right]}\)
(4) \(\exp{\left[(\sqrt{2.98}-\sqrt{0.98})\sqrt{8mV_0 b^2/\hbar^2}\right]}\)
Check Answer
Option 1
Q.No:4 CSIR-Dec-2017
The normalized wavefunction in the momentum space of a particle in one dimension is \(\phi(p)=\frac{\alpha}{p^2+\beta^2}\), where \(\alpha\) and \(\beta\) are real constants. The uncertainty \(\Delta x\) in measuring its position is
(1) \(\sqrt{\pi}\frac{\hbar \alpha}{\beta^2}\)
(2) \(\sqrt{\pi}\frac{\hbar \alpha}{\beta^3}\)
(3) \(\frac{\hbar}{\sqrt{2}\beta}\)
(4) \(\sqrt{\frac{\pi}{\beta}}\frac{\hbar \alpha}{\beta}\)
Check Answer
Option 3
Q.No:5 CSIR-June-2019
A particle of mass \(m\) and energy \(E>0\), in one dimension is scattered by the potential shown below.





Check Answer
Option 3
Q.No:6 CSIR-June-2019
The wave number \(k\) and the angular frequency \(\omega\) of a wave are related by the dispersion relation \(\omega^2=\alpha k+\beta k^3\), where \(\alpha\) and \(\beta\) are positive constants. The wave number for which the phase velocity equals the group velocity, is
(1) \(3\sqrt{\frac{\alpha}{\beta}}\)
(2) \(\sqrt{\frac{\alpha}{\beta}}\)
(3) \(\frac{1}{2}\sqrt{\frac{\alpha}{\beta}}\)
(4) \(\frac{1}{3}\sqrt{\frac{\alpha}{\beta}}\)
Check Answer
Option 2
Q.No:7 CSIR-June-2019
The operator \(x\frac{d}{dx}\delta(x)\), where \(\delta(x)\) is the Dirac delta function, acts on the space of real-valued square-integrable functions on the real line. This operator is equivalent to
(1) \(-\delta(x)\)
(2) \(\delta(x)\)
(3) \(x\)
(4) \(0\)
Check Answer
Option 1
Q.No:8 Assam CSIR-Dec-2019
The wavefunction of a particle of mass \(m\), in a potential \(V(x)\) in one dimension is \(\psi(x)=Ae^{-\beta |x|}\), where \(\beta>0\) and \(A\) are constants. If this wavefunction is an energy eigenfunction, then a possible form of the potential \(V(x)\) is
(1) \(\frac{\hbar^2}{m} \frac{\beta}{|x|}\)
(2) \(-\frac{\hbar^2}{m} \frac{\beta}{|x|}\)
(3) \(\frac{\hbar^2 \beta}{m} \delta(x)\)
(4) \(-\frac{\hbar^2 \beta}{m} \delta(x)\)
Check Answer
Option 4
Q.No:9 CSIR-June-2020
For the one dimensional potential wells \(A, B\) and \(C\), as shown in the figure, let \(E_A, E_B\) and \(E_C\) denote the ground sate energies of a particle, respectively.

The correct ordering of the energies is
(a) \(E_C>E_B>E_A\)
(b) \(E_A>E_B>E_C\)
(c) \(E_B>E_C>E_A\)
(d) \(E_B>E_A>E_C\)
Check Answer
Option a
Q.No:10 CSIR-June-2020
A quantum particle in a one-dimensional infinite potential well, with boundaries at \(0\) and \(a\), is perturbed by adding \(H'=\in \delta \left(x-\frac{a}{2}\right)\) to the initial Hamiltonian. The correction to the energies of the ground and the first excited states (to first order in \(\in\)) are respectively
(a) \(0\) and \(0\)
(b) \(2\in /a\) and \(0\)
(c) \(0\) and \(2\in /a\)
(d) \(2\in /a\) and \(2\in /a\)
Check Answer
Option b
Q.No:11 CSIR Sep-2022
If the expectation value of the momentum of a particle in one dimension is zero, then its (box-normalizable) wavefunction may be of the form
(1) \(sin (kx) \)
(2) \(e^{ikx} sin (kx) \)
(3) \(e^{ikx}cos (kx) \)
(4) \(sin (kx) + e^{ikx} cos (kx) \)
Check Answer
Option 1
Q.No:12 CSIR Sep-2022
The energy/energies \(E\) of the bound state(s) of a particle of mass \(m\) in one dimension in the potential
\[
V(x)= \begin{cases}
\infty, & x \leq 0 \\
-V_0, & 0 \le x \le a \\
0, & x \geq a
\end{cases}
\]
(1) \(cot^2\left( a \sqrt{\frac{2m(E+V_0)}{\hbar^2}}\right) = \frac{E-V_0}{E}\)
(2) \(tan^2\left( a \sqrt{\frac{2m(E+V_0)}{\hbar^2}}\right) =-\frac{E}{E+V_0}\)
(3) \(cot^2\left( a \sqrt{\frac{2m(E+V_0)}{\hbar^2}}\right) =-\frac{E}{E+V_0}\)
(4) \(tan^2\left( a \sqrt{\frac{2m(E+V_0)}{\hbar^2}}\right) = \frac{E-V_0}{E}\)
Check Answer
Option 3
Q.No:13 CSIR Dec-2023
A quantum particle of mass \( m \) is moving in a one dimensional potential
\[ V(x) = V_0 \theta(x) - \lambda \delta(x), \]
where \( V_0 \) and \( \lambda \) are positive constants, \( \theta(x) \) is the Heaviside step function and \( \delta(x) \) is the Dirac delta function. The leading contribution to the reflection coefficient for the particle incident from the left with energy \( E \gg V_0 > \lambda \) and \( \sqrt{2mE} \gg \frac{V_0 \hbar}{\lambda} \) is
1) \( \frac{V_0^2}{4E^2} \)
2)\( \frac{V_0^2}{8E^2} \)
3) \( \frac{m\lambda^2}{2E\hbar^2} \)
4) \( \frac{m\lambda^2}{4E\hbar^2} \)
Check Answer
Option 3
Q.No:14 CSIR June-2024
A particle of energy \(E\) is scattered off a one-dimensional potential \( \lambda \delta(x) \), where \(\lambda\) is a real positive constant, with a transmission amplitude \( t_+ \). In a different experiment, the same particle is scattered off another one-dimensional potential \( -\lambda \delta(x) \), with a transmission amplitude \( t_- \). In the limit \( E \to 0 \), the phase difference between \( t_+ \) and \( t_- \) is
1) \( \pi/2 \)
2) \( \pi \)
3) \( 0 \)
4) \( 3\pi/2 \)
Check Answer
Option 2
Q.No:15 CSIR June-2024
Using a normalized trial wavefunction \(\psi(x) = \sqrt{\alpha} e^{-\alpha |x|}\) \((\alpha\) is a positive real constant\) for a particle of mass \(m\) in the potential \(V(x) = -\lambda \delta(x)\), \((\lambda > 0)\), the estimated ground state energy is
1) \(-\frac{m \lambda^2}{\hbar^2}\)
2) \(\frac{m \lambda^2}{\hbar^2}\)
3) \(\frac{m \lambda^2}{2 \hbar^2}\)
4) \(-\frac{m \lambda^2}{2 \hbar^2}\)
Check Answer
Option 4
Q.No:16 CSIR Dec-2024
A particle of mass \(m\) is bound in one dimension by the potential \(V(x) = V_{0}\delta(x)\) with \(V_{0} < 0\). If the probability of finding it in the region \(|x| < a\) is \(0.25\), then \(a\) is
1) \(\frac{\hbar^{2}}{4mV_{0}} \ln \frac{3}{4}\)
2) \(\frac{\hbar^{2}}{2mV_{0}} \ln \frac{3}{4}\)
3) \(\frac{\hbar^{2}}{4mV_{0}} \ln \frac{1}{4}\)
4) \(\frac{\hbar^{2}}{2mV_{0}} \ln \frac{1}{4}\)
Check Answer
Option 2
Q.No:17 CSIR Dec-2024
A particle of mass \(m\), moving in one dimension is subjected to the potential
\[
V(x) =
\begin{cases}
V_{0}\,\delta(x-a) & 0 < x < 2a \\
\infty & \text{otherwise}
\end{cases}
\]
The energy eigenvalues \(E\) satisfy
1) \(\tan\!\left(\frac{a\sqrt{2mE}}{\hbar}\right)
= \frac{\hbar}{V_{0}} \sqrt{\frac{2E}{m}}\)
2) \(\tanh\!\left(\frac{a\sqrt{2mE}}{\hbar}\right)
= \frac{\hbar}{V_{0}} \sqrt{\frac{2E}{m}}\)
3) \(\tan\!\left(\frac{a\sqrt{2mE}}{\hbar}\right)
= -\,\frac{\hbar}{V_{0}} \sqrt{\frac{2E}{m}}\)
4) \(\tanh\!\left(\frac{a\sqrt{2mE}}{\hbar}\right)
= -\,\frac{\hbar}{V_{0}} \sqrt{\frac{2E}{m}}\)
Check Answer
Option 3
Q.No:18 CSIR June-2025
The probability density of a free particle of mass \(m\) at time \(t = 0\) is given by
\[
A \exp\!\left( -\frac{x^{2}}{2\sigma^{2}(0)} \right)
\]
At \(t > 0\), its probability density is proportional to
\[
\exp\!\left( -\frac{x^{2}}{2\sigma^{2}(t)} \right)
\]
where \(\sigma^{2}(t)\) is
1) \(\sigma^{2}(0) + \frac{\hbar^{2} t^{2}}{\sigma^{2}(0)m^{2}}\)
2) \(\sigma^{2}(0) + \frac{\hbar^{2} t^{2}}{4\sigma^{2}(0)m^{2}}\)
3) \(\sigma^{2}(0) + \frac{4\hbar^{2} t^{2}}{\sigma^{2}(0)m^{2}}\)
4) \(\sigma^{2}(0) + \frac{2\hbar^{2} t^{2}}{\sigma^{2}(0)m^{2}}\)

Q.No.1 Discussion (GATE) :
Option c
Q.No.2 Discussion (GATE) :
Ans option 1
Q.No.2 GATE 2012
Option D,
Thus,Probability current density of real part of wave function is zero.
Q.No.3 Discussion (GATE) :
Q.No.4 Discussion (GATE) :
ans
Q.No.5 Discussion (GATE) :
ans
Q.No.6 Discussion (GATE) :
My solution
Q.No.7 Discussion (GATE) :
Q.No.8 Discussion (GATE) :
Q.No.1 Discussion (CSIR) :
Option C
Q.No.2 Discussion (CSIR) :
Q.No.3 Discussion (CSIR) :
Answer
Q.No.4 Discussion (CSIR) :
Q.No.5 Discussion (CSIR) :
Answer
Q.No.6 Discussion (CSIR) :
ans
Q.No.7 Discussion (CSIR) :
Ans
Q.No.8 Discussion (CSIR) :
Q.No.9 Discussion (CSIR) :
Q.No.10 Discussion (CSIR) :
option (b)
Q.No.11 Discussion (CSIR) :
Answer: A
Q.No.12 Discussion (CSIR) :
Ans
Q.No.13 Discussion (CSIR) :
Answer : C
Q.No.14 Discussion (CSIR) :